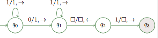
Question: Construct a Turing machine that adds two unary numbers, as in Example 82, except that it erases the first 1 and changes the separating zero
Construct a Turing machine that adds two unary numbers, as in Example 82, except that it erases the first 1 and changes the separating zero to a 1.

8-2 Example
Step by Step Solution
There are 3 Steps involved in it
Get step-by-step solutions from verified subject matter experts
