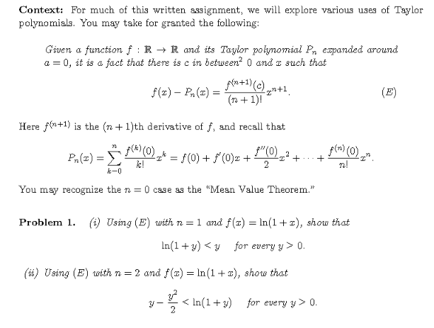
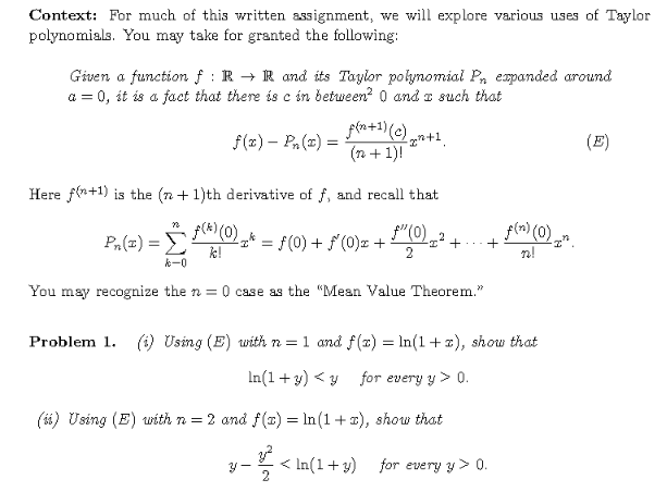
Question: Context: For much of this written assignment, we will explore various uses of Taylor polynomials. You may take for granted the following: Given a function




Context: For much of this written assignment, we will explore various uses of Taylor polynomials. You may take for granted the following: Given a function f : R - R and its Taylor polynomial Pr expanded around a =0, it is a fact that there is c in between' 0 and I such that f ( @) - Pr(c) = juh(c) (n + 1)! (E) Here f(+1) is the (n + 1)th derivative of f, and recall that PR() = A) (0 ) & 12* = f(0)+ 0)z+ 0,2 + .. . - f()(0) k! 2 n! You may recognize the n = 0 case as the "Mean Value Theorem." Problem 1. (i) Using (E) with n = 1 and f(x) = In(1 + 2), show that In(1 ty)
Step by Step Solution
There are 3 Steps involved in it
Get step-by-step solutions from verified subject matter experts
