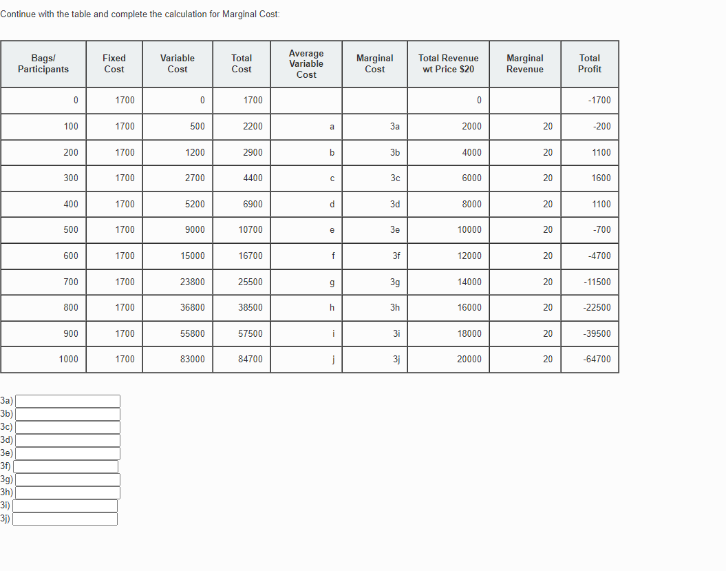
Question: Continue with the table and complete the calculation for Marginal Cost: Bags/ Fixed Variable Total Average Cost Variable Marginal Total Revenue Marginal Total Participants Cost

Continue with the table and complete the calculation for Marginal Cost: Bags/ Fixed Variable Total Average Cost Variable Marginal Total Revenue Marginal Total Participants Cost Cost Cost Cost wt Price $20 Revenue Profit 0 1700 1700 -1700 100 1700 500 2200 a 3a 2000 20 -200 200 1700 1200 2900 b 3b 4000 20 1100 300 1700 2700 4400 30 6000 20 1600 400 1700 5200 6900 3d 8000 20 1100 500 1700 9000 10700 e 10000 20 -700 600 1700 15000 16700 T 12000 20 4700 700 1700 23800 25500 g 14000 20 -11500 800 1700 36800 38500 h 3h 16000 20 22500 900 1700 55800 57500 1 18000 20 39500 1000 1700 83000 84700 20000 20 -64700 3a) 3b 3c) 3d) 3e) 3g)
Step by Step Solution
There are 3 Steps involved in it
Get step-by-step solutions from verified subject matter experts
