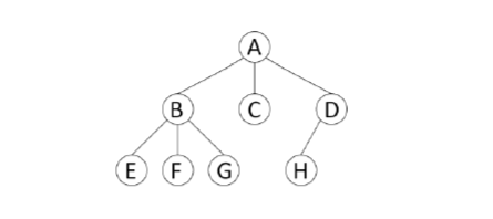
Question: Convert the given general tree into a binary tree. Show each step. . B C D E F G H


Convert the given general tree into a binary tree. Show each step. . B C D E F G H
Step by Step Solution
There are 3 Steps involved in it
1 Expert Approved Answer
Step: 1 Unlock
Question Has Been Solved by an Expert!
Get step-by-step solutions from verified subject matter experts
Step: 2 Unlock
Step: 3 Unlock
