Question: Correlation Coefficient, Phi Coefficient, Paired T test, Unpaired T Test, and Reliability 1. A school counselor wanted to see if there is a relationship between

Correlation Coefficient, Phi Coefficient, Paired T test, Unpaired T Test, and Reliability



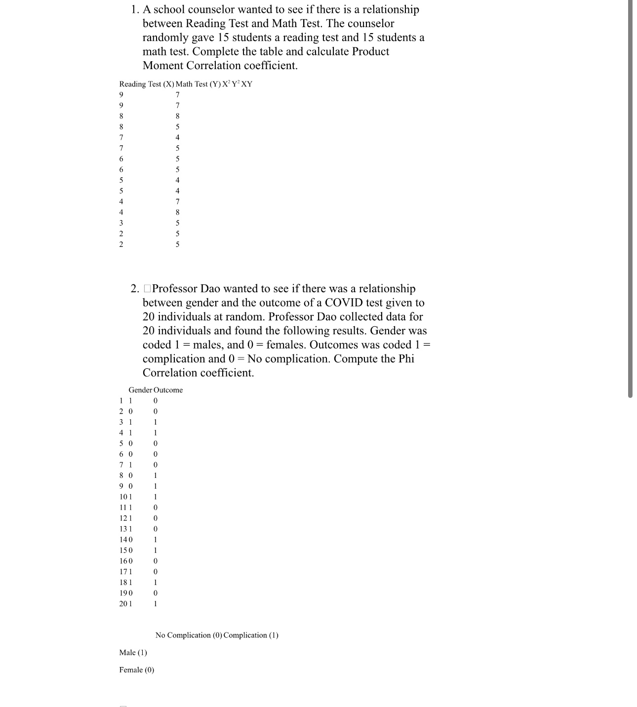
1. A school counselor wanted to see if there is a relationship between Reading Test and Math Test. The counselor randomly gave 15 students a reading test and 15 students a math test. Complete the table and calculate Product Moment Correlation coefficient. Reading Test (X) Math Test (Y) X2 Y XY NN W AA VIVIAN N VOODOO 2. Professor Dao wanted to see if there was a relationship between gender and the outcome of a COVID test given to 20 individuals at random. Professor Dao collected data for 20 individuals and found the following results. Gender was coded 1 = males, and 0 = females. Outcomes was coded 1 = complication and 0 = No complication. Compute the Phi Correlation coefficient. Gender Outcome 1 0 0 0 1 - - 50 0 60 0 7 0 8 0 0 101 11 1 0 12 1 0 13 1 0 140 150 160 0 171 181 190 20 1 No Complication (0) Complication (1) Male (1) Female (0)3. A researcher wanted to test the claim that an anger management treatment program doesn't work in a group of adolescent children. In a sample 0120 children, the researcher gave a test to assess anger symptoms The researcher gave the same test to the same children after they attended the anger management treatment program. Complete the table and calculate the Paired (dependent) T test. Pre-Tcst Post-Test D D; -_I -I Test the claim the anger intervention doesn't work at .05 level. 3a. Claim: Opp: 3b. Ho: Ha: 3e. : 3d. df = 3e. Draw a picture and label T erit. T stat. and shaded region. 3f. Decision: Reject or Fail to Reject 4. Calculate the Standard Error of Measurement for a personality test with a reliability coefcient of,807 mean of 50, and standard deviation of 10. 5. Using the SEM calculated in #4, ifJOhn scored a 63 on his personality test, calculate a 95%condence interval. John's true score is between and 6. A researcher wanted to test the claim that an anger management treatment program doesn't work in a group of adolescent children. The researcher got a sample of 30 students and randomly assigned them Group A and Group B. Group A student received no anger management intervention. Group B received anger management program. The researcher gave an anger test to both groups of students. Complete the table and calculate the Unpaired (independent) T test. Group A Group B 9 7 2.56 \"Elf: 9 7 2561.96 8 s 0.36 5.76 S 5 0.36 0.36 7 4 0.16256 7 5 0.16036 6 5 1.96 0.36 6 5 [.96 0.36 5 4 5.76 2.56 8 4 0562.56 7 7 0.161.96 s s 0.36 5.76 E 5 0.36 0.36 7 5 0.16036 8 5 0.36 0.36 111 84 17.6271: 7.4 5.6 6a. Claim: Opp: 6b. H0: Ha: 6c. = 6d. df : e. Draw a picture and label T crit, T stat, and shaded region. 6e. Decision: Reject or Fail to Reject
Step by Step Solution
There are 3 Steps involved in it
Get step-by-step solutions from verified subject matter experts
