Question: Could someone explain this person's work for deciding if there was a global minimum or maximum? Thank you! 3. (10 points) Let f(z, y) =

Could someone explain this person's work for deciding if there was a global minimum or maximum? Thank you!

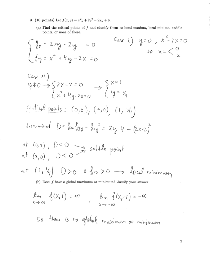
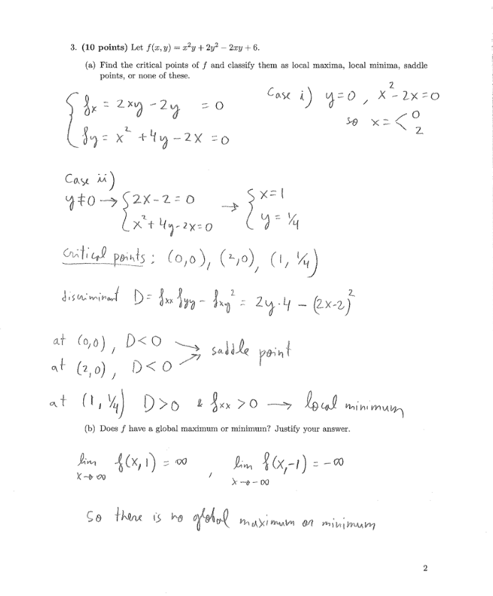
3. (10 points) Let f(z, y) = x y + 2y - 2ry + 6. (a) Find the critical points of f and classify them as local maxima, local minima, saddle points, or none of these. 8 x = 2 xy - 2y = 0 Case i ) 4= 0, X - 2X= 0 by = x + 4 y - 2X =0 Case in ) y # 0 -> ( 2X - 2:0 SX=1 2 x 3 + 4y-2x= 0 ( y = 1/4 critical points : (0, 0 ), ( 2 , 0 ), ( 1 , 1/4 ) discriminant D= 8xx bug - Pay? = 24.4 - (2x-2 ) at ( 0 , 0 ) , DO at ( 2, 0 ), DO & 8 x x 70 - local minimumg (b) Does f have a global maximum or minimum? Justify your answer. lim f ( x , 1 ) = 00 lim 8 ( x , - 1 ) = - 00 * - - DO So there is no good maximum or minimum 2
Step by Step Solution
There are 3 Steps involved in it
Get step-by-step solutions from verified subject matter experts
