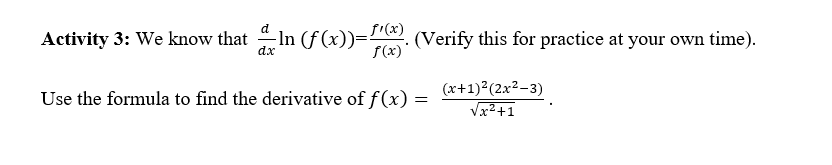
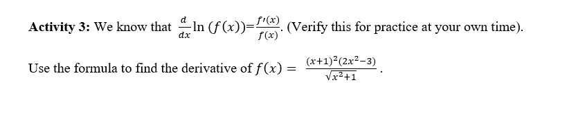
Question: Could someone help me with these, i am a bit confused, thank you. FIE?!) fix) Activity 3: We know that :xln {f (x))= . (Verify


Could someone help me with these, i am a bit confused, thank you.


FIE?!) fix) Activity 3: We know that :xln {f (x))= . (Verify this for practice at your own time). (x+1}2(2x33) M'x2+1 Use the formula to nd the derivative of f(x) = Activity 2: Work with your group to verify that tan~ x = 1 1-12
Step by Step Solution
There are 3 Steps involved in it
Get step-by-step solutions from verified subject matter experts
