Question: Could use some help on each question thanks. Midterm will be submitted as a single pdf. This document needs to show your work for each

Could use some help on each question thanks.

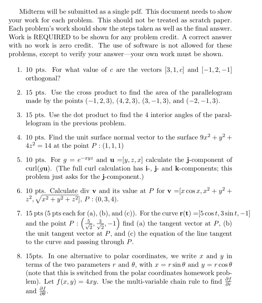
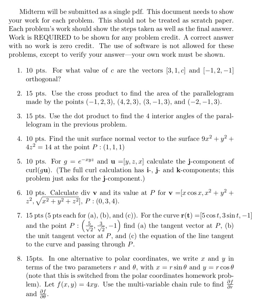
Midterm will be submitted as a single pdf. This document needs to show your work for each problem. This should not be treated as scratch paper. Each problem's work should show the steps taken as well as the final answer. Work is REQUIRED to be shown for any problem credit. A correct answer with no work is zero credit. The use of software is not allowed for these problems, except to verify your answer-your own work must be shown. 1. 10 pts. For what value of c are the vectors [3, 1, c] and [-1, 2, -1] orthogonal? 2. 15 pts. Use the cross product to find the area of the parallelogram made by the points (-1, 2, 3), (4, 2, 3), (3, -1, 3), and (-2, -1, 3). 3. 15 pts. Use the dot product to find the 4 interior angles of the paral- lelogram in the previous problem. 4. 10 pts. Find the unit surface normal vector to the surface 9x2 + 2 + 422 = 14 at the point P : (1, 1, 1) 5. 10 pts. For g = e-*yz and u =[y, z, x] calculate the j-component of curl(gu). (The full curl calculation has i-, j- and k-components; this problem just asks for the j-component.) 6. 10 pts. Calculate div v and its value at P for v =[x cosx, x2 + y2 + 22, Vx2 + y2 + 22], P : (0, 3, 4). 7. 15 pts (5 pts each for (a), (b), and (c)). For the curve r(t) =[5 cost, 3 sint, -1] and the point P : (5, 3, -1 ) find (a) the tangent vector at P, (b) the unit tangent vector at P, and (c) the equation of the line tangent to the curve and passing through P. 8. 15pts. In one alternative to polar coordinates, we write x and y in terms of the two parameters r and 0, with x = r sin 0 and y = r cos 0 (note that this is switched from the polar coordinates homework prob- lem). Let f(x, y) = 4xy. Use the multi-variable chain rule to find of and de
Step by Step Solution
There are 3 Steps involved in it
Get step-by-step solutions from verified subject matter experts
