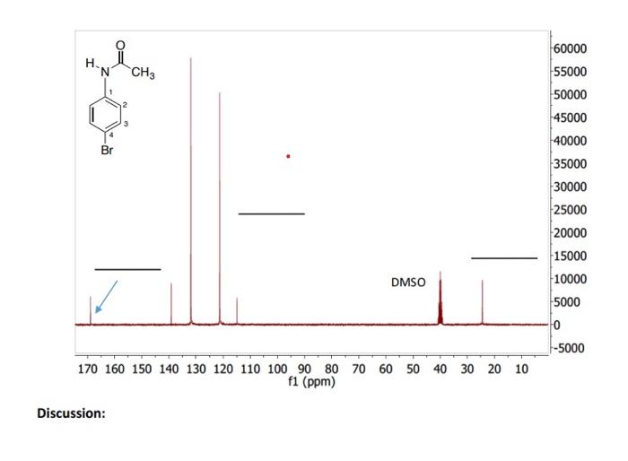
Question: could you help me out wth these question :( 1H NMR and 13C NMR Assignment (20 pts) Assign the 1H NMR and 13C NMR signals

1H NMR and 13C NMR Assignment (20 pts) Assign the 1H NMR and 13C NMR signals by filling in the corresponding blanks. Discuss how each spectrum (1H&13C) can be used to help prove the identity of the product. Consider the structural features (chemical shifts and presence or absence of signals) and the number of protons (integration) in the product compared to the starting material. [ D
Step by Step Solution
There are 3 Steps involved in it
Get step-by-step solutions from verified subject matter experts
