Question: could you just solve for 6,7,8,9 Operating and Financial Budgets. Pat has become concerned about the profitability and cash needs for the business as it



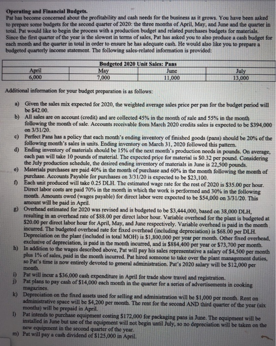
Operating and Financial Budgets. Pat has become concerned about the profitability and cash needs for the business as it grows. You have been asked to prepare some budgets for the second quarter of 2020: the three months of April, May, and June and the quarter in total. Pat would like to begin the process with a production budget and related purchases budgets for materials. Since the first quarter of the year is the slowest in terms of sales, Pat has asked you to also produce a cash budget for each month and the quarter in total in order to ensure he has adequate cash. He would also like you to prepare a budgeted quarterly income statement. The following sales-related information is provided: April 6.000 Budgeted 2020 Unit Sales: Pans Budgeted 2020 Unit May June 7.000 11,000 S July 13,000 Additional information for your budget preparation is as follows: a) Given the sales mix expected for 2020, the weighted average sales price per pan for the budget period will be $42.00 b) All sales are on account (credit) and are collected 45% in the month of sale and 55% in the month following the month of sale. Accounts receivable from March 2020 credits sales is expected to be $394.000 on 3/31/20. c) Perfect Pans has a policy that each month's ending inventory of finished goods (pans) should be 20% of the following month's sales in units. Ending inventory on March 31, 2020 followed this pattern. d) Ending inventory of materials should be 15% of the next month's production needs in pounds. On average, cach pan will take 10 pounds of material. The expected price for material is $0.32 per pound. Considering the July production schedule, the desired ending inventory of materials in June is 22,500 pounds. e) Materials purchases are paid 40% in the month of purchase and 60% in the month following the month of purchase. Accounts Payable for purchases on 3/31/20 is expected to be $23,100. Each unit produced will take 0.25 DLH. The estimated wage rate for the rest of 2020 is $35.00 per hour Direct labor costs are paid 70% in the month in which the work is performed and 30% in the following month. Amounts owed (wages payable) for direct labor were expected to be $54,000 on 3/31/20. This amount will be paid in April 8) Overhead estimated for 2020 was revised and is budgeted to be $3,444,000, based on 38,000 DLH, resulting in an overhead rate of $88.00 per direct labor hour. Variable overhead for the plant is budgeted at $20.00 per direct labor hour for April, May, and June respectively. Variable overhead is paid in the month incurred. The budgeted overhead rate for fixed overhead (including depreciation) is $68.00 per DLA Depreciation on the plant (included in total MOH) is $1,800,000 per year per month. Other fixed overhead exclusive of depreciation, is paid in the month incurred, and is $884,400 per year or $73,700 per month h) In addition to the wages described above, Pat will pay his sales representative a salary of $4,500 per month plus 1% of sales, paid in the month incurred. Pat hired someone to take over the plant management duties. so Pat's time is now entirely devoted to general administration. Pat's 2020 salary will be $12,000 per month. i) Pat will incur a $36,000 cash expenditure in April for trade show travel and registration j) Pat plans to pay cash of $14,000 each month in the quarter for a series of advertisements in cooking magazines. k) Depreciation on the fixed assets used for selling and administration will be $1,000 per month. Rent on administrative space will be $4,200 per month. The rent for the second AND third quarter of the year (six months) will be prepaid in April. D) Pat intends to purchase equipment costing S172,000 for packaging pans in June. The equipment will be installed in June but use of the equipment will not begin until July, so no depreciation will be taken on the new equipment in the second quarter of the year. m) Pat will pay a cash dividend of S125,000 in April. n) Perfect Pans has a line of credit with a local bank and a policy that the ending cash balance each month must be at least $20,000. The cash balance on March 31, 2020 was expected to be $20,200. The company can borrow in increments of $1.000 at the beginning of the month. The firm pays accumulated interest of 1% per month at the end of each quarter and will use any excess cash above the minimum balance to pay down on the line of credit balance at the end of the quarter. .) The tax rate for Perfect Pans is 30% of income before tax (operating income less interest). A tax payment of $22,000 will be made in April. 3. Required: Prepare your answers to the following requirements in Packet 2: Hint: See the formats in Problem 9-65B and adjust as needed. 1. Prepare a production budget to calculate production in units for the months of April, May, and June and for the quarter in total 2. Prepare a direct materials budget for pounds of material for April, May, and June and for the quarter in total. Multiply pounds by price at the bottom of the budget to get the dollar value of purchases. Prepare a cash payments for direct materials budget for the months of April, May, and June and for the quarter in total. 4. Prepare a sales budget showing units and dollars and a cash collections budget for the months of April, May, and June and for the quarter in total. 5. Prepare a labor budget in hours and dollars and a cash payments for labor budget for the months of April, May, and June and for the quarter in total 6. Using the information from parts 3. through 5. and the additional information presented above, prepare a combined cash budget for the months of April, May, and June and for the quarter in total. Any cash flows that are not summarized in requirements 3. through 5. should be shown as separate line items in the budget. 7. Prepare a schedule calculating the budgeted manufacturing cost per unit using the information provided above. Use the variable and fixed manufacturing overhead rates to calculate overhead cost per unit. Remember that the rates are expressed per DLH, not per unit. 8. Prepare a budgeted income statement for the second quarter of 2020. Compute cost of goods sold using the budgeted manufacturing cost per unit calculated in 7. above. You do not need to do a separate schedule of cost of goods manufactured and sold. 9. Calculate the following amounts that would appear on the 6/30/2020 balance sheet: Accounts Receivable Accounts Payable for Material and Labor Direct Materials Inventory in Dollars Cash Perfect Pans Combined Cash Budget For the Quarter Ended June 30, 2020 April May June Quarter Perfect Pans Budgeted Manufacturing Cost per Unit For the Quarter Ended June 30, 2020 Cast Per Unit Perfect Pans Budgeted Income Statement For the Quarter Ended June 30, 2020 9. Balance sheet values 6/30/2020 Accounts Receivable Accounts Payable (material and labor) Direct Materials Inventory (dollars) June 11000 2600 13600 2200 11400 Quarter 24000 2600 26600 1200 25400 Perfect Puns Production Budget For the water Ended 10.2000 April May Budgeted unit les 6000 7000 Add Desired finished goods inventory 1400 2200 Total needed 7400 9200 Less Beginning finished goods inventory 1200 1400 Budgeted production units 6300 7800 Ending inventory for June 20% x 13000 2600 2. Perfect Pans Direct Materials Budget For the Quarter Ended une 30, 2000 May Budgeted production units Material required per unit (pounds) Total required for production (pounds) 62000 Add: Desired ending materials inventory 11700 17100 Total needed 73700 95100 Les Beginning materials inventory 9300 11700 Total direct material purchases (pounds) 600 3-400 Cost per pound 15 0335 Total direct material purchases 20,608 26,685 April Quarter 11400 22500 136500 17100 119000 0.325 3.20 $ 25400 23:50 27650 930 26720 03 85.50 Perfect Pans Cash Payments for Direct Materials For the Quarter Ended June 30, 2020 April May June Quartier March - Accounts payable 23100 23100 April credit purchases 94312365 May credit purchases 10675 16013 26688 June credit purchases 1533 15283 Total cash payments for direct materials 31343 2304031296 85679 Note: In the question the Accounts Payable is wrongly mentioned as 6/30/20. It should be March Accounts payable which is to be paid for in April since no March accounts payable has been provided. Kindly check on the same. For any clarifications, please write under comments section. Perfect Pans Sales Budget in Units and Dollars For the Quarter Ended June 30, 2020 April May June 11000 42.00 $ 42.00 2 .00 2.52,000 $ 2.94.000 S 462.000 Budgeted unit sales Sales price per unit Total budgeted sales Quarter 24000 42.00 $ 10.08.000 $ Perfect Pans Cash Collections Budget For the Quarter Ended June 30, 2020 April May 394000 113400 13600 132300 March credit sales April credit sales May credit sales June credit sales Total cash collections 161700 307900 369600 Quarter 394000 252000 294000 207900 1147900 507400 270900
Step by Step Solution
There are 3 Steps involved in it
Get step-by-step solutions from verified subject matter experts
