Question: Could you please help me out with Balance sheet and cash flows. Thank You. a. c. INSTRUCTIONS: From the alphabetical adjusted account balances on the


Could you please help me out with Balance sheet and cash flows. Thank You.
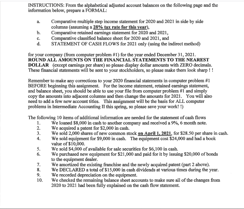
a. c. INSTRUCTIONS: From the alphabetical adjusted account balances on the following page and the information below, prepare a FORMAL: Comparative multiple step income statement for 2020 and 2021 in side by side columns (assuming a 28% tax rate for this year), b. Comparative retained earnings statement for 2020 and 2021, Comparative classified balance sheet for 2020 and 2021, and d. STATEMENT OF CASH FLOWS for 2021 only (using the indirect method) for your company (from computer problem #1) for the year ended December 31, 2021. ROUND ALL AMOUNTS ON THE FINANCIAL STATEMENTS TO THE NEAREST DOLLAR (except earnings per share) so please display dollar amounts with ZERO decimals. These financial statements will be sent to your stockholders, so please make them look sharp!! Remember to make any corrections to your 2020 financial statements in computer problem #1 BEFORE beginning this assignment. For the income statement, retained earnings statement, and balance sheet, you should be able to use your file from computer problem #1 and simply copy the amounts into adjacent columns and then change the amounts for 2021. You will also need to add a few new account titles. This assignment will be the basis for ALL computer problems in Intermediate Accounting II this spring, so please save your work! !) The following 10 items of additional information are needed for the statement of cash flows 1. We loaned $8,000 in cash to another company and received a 9%, 6 month note. 2. We acquired a patent for $2,000 in cash, 3. We sold 2,000 shares of new common stock on April 1, 2021, for $28,50 per share in cash. 4. We sold equipment for $9,000 in cash. The equipment cost $24,000 and had a book value of $10,000. We sold $4,000 of available for sale securities for $6,100 in cash. We purchased new equipment for $21,000 and paid for it by issuing $20,000 of bonds to the equipment dealer. 7. We amortized the existing franchise and the newly acquired patent (part 2 above). 8. We DECLARED a total of $15,000 in cash dividends at various times during the year. 9. We recorded depreciation on the equipment. 10. We checked the remaining balance sheet accounts to make sure all of the changes from 2020 to 2021 had been fully explained on the cash flow statement. ciri 6. N s DEBITS $81,000 CREDITS $42,975 70,000 5,400 4,200 42,000 6,400 90,000 5,250 600 120,000 22,000 15,000 267,000 36,000 4,500 2.100 2,000 ?? ?? 7,000 9,400 Adjusted amounts for year ended December 31, 2021: Accounts Payable Accounts Receivable Accumulated Depreciation - Equipment Allowance for Doubtful Accounts Amortization Expense Available for Sale Securities Bad Debts Expense Bonds Payable 8% ($70,000 due in 2025, $20,000 due in 2028) Cash Cash Dividends Payable Common Stock, $10 par, 60,000 shares authorized Depreciation Expense Dividend Declared Equipment Franchise Freight - In Gain on Sale of Assets Income Summary (for merchandise) Income Tax Expense assume a 28% tax rate this year) Income Tax Payable Insurance Expense Interest Expense Interest Income Interest Payable Interest Receivable Land Loss on Sale of Assets Merchandise Inventory, ending Notes Receivable (Short Term) Paid in Capital in Excess of Par - Common Patent Premium on Bonds Payable Prepaid Insurance Purchases Purchases Discounts Rent Expense Retained Earnings Sales Sales Returns Supplies Supplies Expense Treasury Stock (500 shares at cost) Utilities Expense Wages Expenses Wages Payable TOTAL 4,700 1,300 200 50,000 1,000 35,000 8,000 111,000 1,800 950 3,000 111,000 1,400 15,000 83,625 310,000 4,500 1,400 5,200 17,000 26,100 64,000 $844,950 900 $844,950 a. c. INSTRUCTIONS: From the alphabetical adjusted account balances on the following page and the information below, prepare a FORMAL: Comparative multiple step income statement for 2020 and 2021 in side by side columns (assuming a 28% tax rate for this year), b. Comparative retained earnings statement for 2020 and 2021, Comparative classified balance sheet for 2020 and 2021, and d. STATEMENT OF CASH FLOWS for 2021 only (using the indirect method) for your company (from computer problem #1) for the year ended December 31, 2021. ROUND ALL AMOUNTS ON THE FINANCIAL STATEMENTS TO THE NEAREST DOLLAR (except earnings per share) so please display dollar amounts with ZERO decimals. These financial statements will be sent to your stockholders, so please make them look sharp!! Remember to make any corrections to your 2020 financial statements in computer problem #1 BEFORE beginning this assignment. For the income statement, retained earnings statement, and balance sheet, you should be able to use your file from computer problem #1 and simply copy the amounts into adjacent columns and then change the amounts for 2021. You will also need to add a few new account titles. This assignment will be the basis for ALL computer problems in Intermediate Accounting II this spring, so please save your work! !) The following 10 items of additional information are needed for the statement of cash flows 1. We loaned $8,000 in cash to another company and received a 9%, 6 month note. 2. We acquired a patent for $2,000 in cash, 3. We sold 2,000 shares of new common stock on April 1, 2021, for $28,50 per share in cash. 4. We sold equipment for $9,000 in cash. The equipment cost $24,000 and had a book value of $10,000. We sold $4,000 of available for sale securities for $6,100 in cash. We purchased new equipment for $21,000 and paid for it by issuing $20,000 of bonds to the equipment dealer. 7. We amortized the existing franchise and the newly acquired patent (part 2 above). 8. We DECLARED a total of $15,000 in cash dividends at various times during the year. 9. We recorded depreciation on the equipment. 10. We checked the remaining balance sheet accounts to make sure all of the changes from 2020 to 2021 had been fully explained on the cash flow statement. ciri 6. N s DEBITS $81,000 CREDITS $42,975 70,000 5,400 4,200 42,000 6,400 90,000 5,250 600 120,000 22,000 15,000 267,000 36,000 4,500 2.100 2,000 ?? ?? 7,000 9,400 Adjusted amounts for year ended December 31, 2021: Accounts Payable Accounts Receivable Accumulated Depreciation - Equipment Allowance for Doubtful Accounts Amortization Expense Available for Sale Securities Bad Debts Expense Bonds Payable 8% ($70,000 due in 2025, $20,000 due in 2028) Cash Cash Dividends Payable Common Stock, $10 par, 60,000 shares authorized Depreciation Expense Dividend Declared Equipment Franchise Freight - In Gain on Sale of Assets Income Summary (for merchandise) Income Tax Expense assume a 28% tax rate this year) Income Tax Payable Insurance Expense Interest Expense Interest Income Interest Payable Interest Receivable Land Loss on Sale of Assets Merchandise Inventory, ending Notes Receivable (Short Term) Paid in Capital in Excess of Par - Common Patent Premium on Bonds Payable Prepaid Insurance Purchases Purchases Discounts Rent Expense Retained Earnings Sales Sales Returns Supplies Supplies Expense Treasury Stock (500 shares at cost) Utilities Expense Wages Expenses Wages Payable TOTAL 4,700 1,300 200 50,000 1,000 35,000 8,000 111,000 1,800 950 3,000 111,000 1,400 15,000 83,625 310,000 4,500 1,400 5,200 17,000 26,100 64,000 $844,950 900 $844,950
Step by Step Solution
There are 3 Steps involved in it
Get step-by-step solutions from verified subject matter experts
