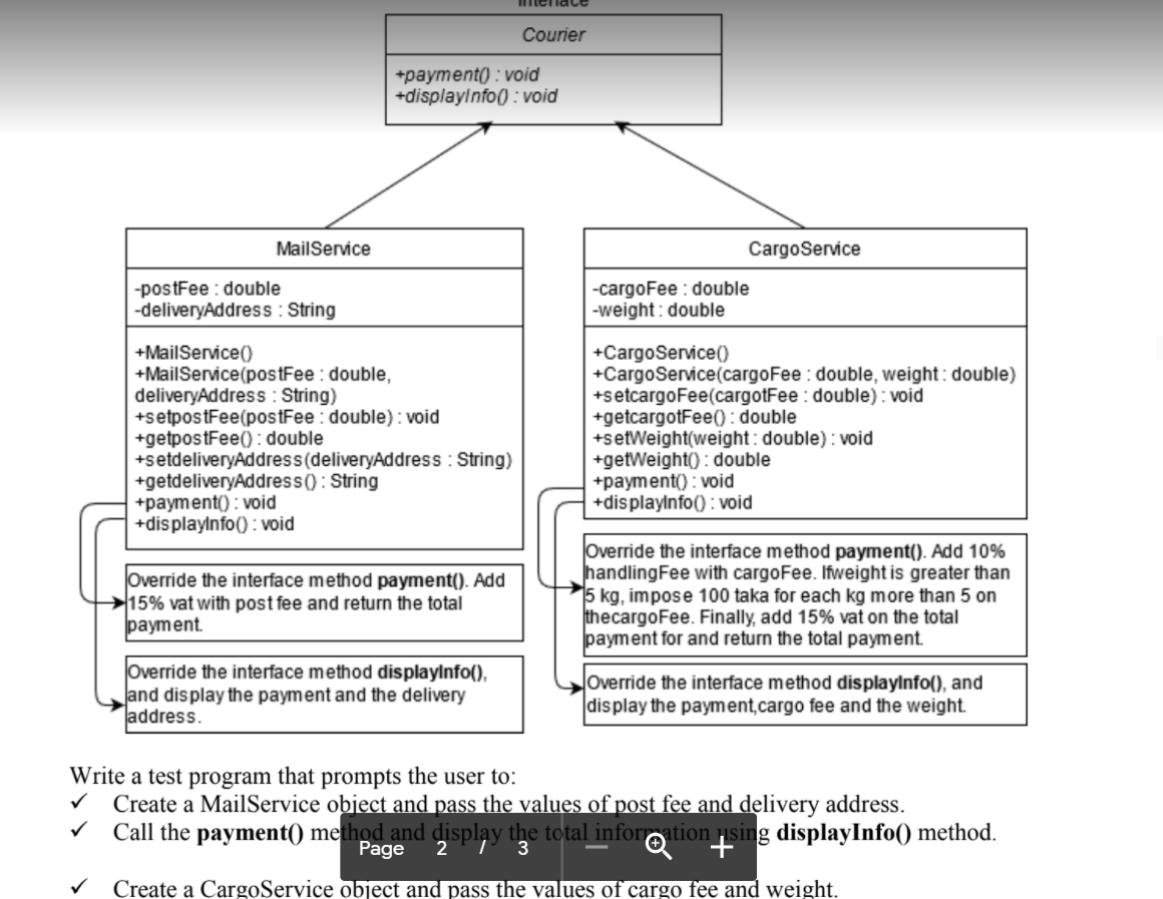
Question: Courier +payment(): void +displayinfo() : void MailService -postFee: double -deliveryAddress : String CargoService -cargoFee: double -weight: double +MailService) +MailService(postFee: double, deliveryAddress : String) +setpostFee(postFee: double):

Courier +payment(): void +displayinfo() : void MailService -postFee: double -deliveryAddress : String CargoService -cargoFee: double -weight: double +MailService) +MailService(postFee: double, deliveryAddress : String) +setpostFee(postFee: double): void +getpostFee(): double +setdeliveryAddress(deliveryAddress : String) +getdeliveryAddress(): String +payment) : void +displayinfo() : void +CargoService) +CargoService(cargoFee: double, weight: double) +setcargoFee(cargotFee: double): void +getcargotFee(): double +setWeight(weight: double): void +getWeight(): double +payment) : void +displayinfo() : void Override the interface method payment(). Add 15% vat with post fee and return the total payment Override the interface method payment(). Add 10% handling Fee with cargoFee. Ifweight is greater than 15 kg, impose 100 taka for each kg more than 5 on thecargoFee. Finally, add 15% vat on the total payment for and return the total payment Override the interface method displayinfo(). and display the payment and the delivery Jaddress Override the interface method displayinfo(), and display the payment,cargo fee and the weight. Write a test program that prompts the user to: Create a MailService object and pass the values of post fee and delivery address. Call the payment() method and display the total information pusing displayInfo() method. Page 2 T 3 Create a CargoService object and pass the values of cargo fee and weight
Step by Step Solution
There are 3 Steps involved in it
Get step-by-step solutions from verified subject matter experts
