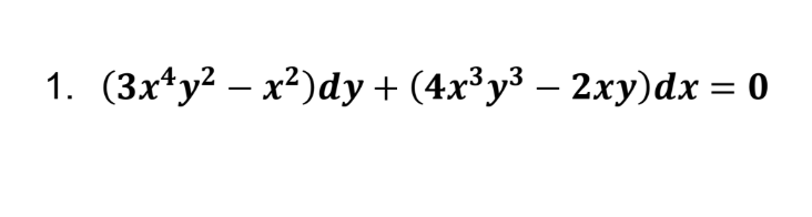
Question: Course: Civil Engineering Subject: Differential Equations A . Evaluate the D E . Determine i f the D E i s EXACT o r NOT
Course: Civil Engineering
Subject: Differential Equations
Evaluate the Determine the EXACT NOT EXACT. Show clear, correct, and complete solutions and answers. each
Step by Step Solution
There are 3 Steps involved in it
1 Expert Approved Answer
Step: 1 Unlock
Question Has Been Solved by an Expert!
Get step-by-step solutions from verified subject matter experts
Step: 2 Unlock
Step: 3 Unlock
