Question: CpE-300: Design and Analysis of Algorithms Programming Assignment 1 A selection problem is a problem to find the kth order static element from a set
CpE-300: Design and Analysis of Algorithms
Programming Assignment 1
A selection problem is a problem to find the kth order static element from a set of n distinct numbers.
Input: a set A of n distinct numbers (unsorted) and an integer k.
Output: the element x which is larger than k-1 other elements in A.
Read Sections 9.2 & 9.3 from the text book ( Introduction to algorithms by Cormen, Leiserson, Rivest, Stein 2nd or 3rd edition).








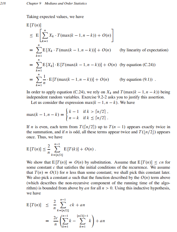
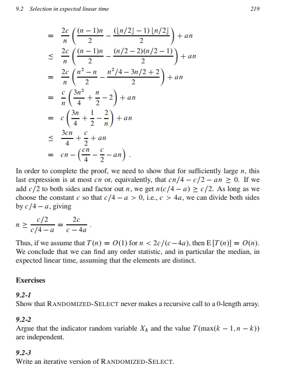
The presented selection algorithm depend on divide-and-conquer algorithm and the expected running time O(n).The important part in this algorithm is choosing the pivot for partitioning (randomly or median-of-medians). make sure that you make two Classes or more if you need to
Implement the selection algorithm ( using both method of selecting the pivot) using an object oriented programming language.
Your code should be readable and well designed with a strategy pattern. ( read about a strategy pattern). it is important you have to read it
Run your code multiple times with different size of Array A, display your results in x-y plane where:
X is the Size of the array
Y is the execution time
Requirements:
Reading sections 9.2 & 9.3 from text book
Reading about the strategy pattern
Submission:
each student should submit a soft-copy (upload in OCS) and a hard-copy (in class) including the following:
Readable, well designed program code (add comment for clarification)
Your Statistics ( ArraySize-execution time ) table and graph
Compare your results with the expected selection algorithm running time
Step by Step Solution
There are 3 Steps involved in it
Get step-by-step solutions from verified subject matter experts
