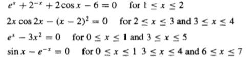
Question: Create a C program that implements Newton's method and use it to solve the following equations within 10^-5: ex+2x+2cosx6=0for1x22xcos2x(x2)2=0for2x3and3x4ex3x2=0for0x1and3x5sinxex=0for0x13x4and6x7
ex+2x+2cosx6=0for1x22xcos2x(x2)2=0for2x3and3x4ex3x2=0for0x1and3x5sinxex=0for0x13x4and6x7
Step by Step Solution
There are 3 Steps involved in it
Get step-by-step solutions from verified subject matter experts
