Question: create a case study based on this do the case study based on the erd diagram i need this for an assignment due today create
create a case study based on this
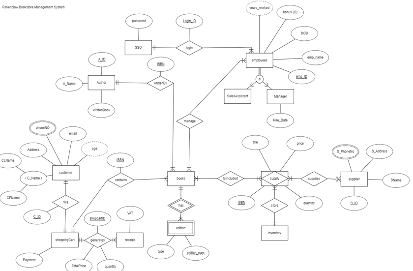
do the case study based on the erd diagram i need this for an assignment due today create a fully detailed case study based on the attributes and entity
Step by Step Solution
There are 3 Steps involved in it
1 Expert Approved Answer
Step: 1 Unlock
Question Has Been Solved by an Expert!
Get step-by-step solutions from verified subject matter experts
Step: 2 Unlock
Step: 3 Unlock
