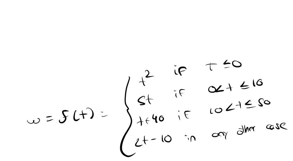
Question: Create an algorithm with a flowchart that determines the value of the function w of t, according to the following: The input of the algorithm
Create an algorithm with a flowchart that determines the value of the function w of t, according to the following:

The input of the algorithm should be any real number and, according to the input, the output must be the value of the function.
w=f(t)=t25tt+402t10ifififint00
Step by Step Solution
There are 3 Steps involved in it
Get step-by-step solutions from verified subject matter experts
