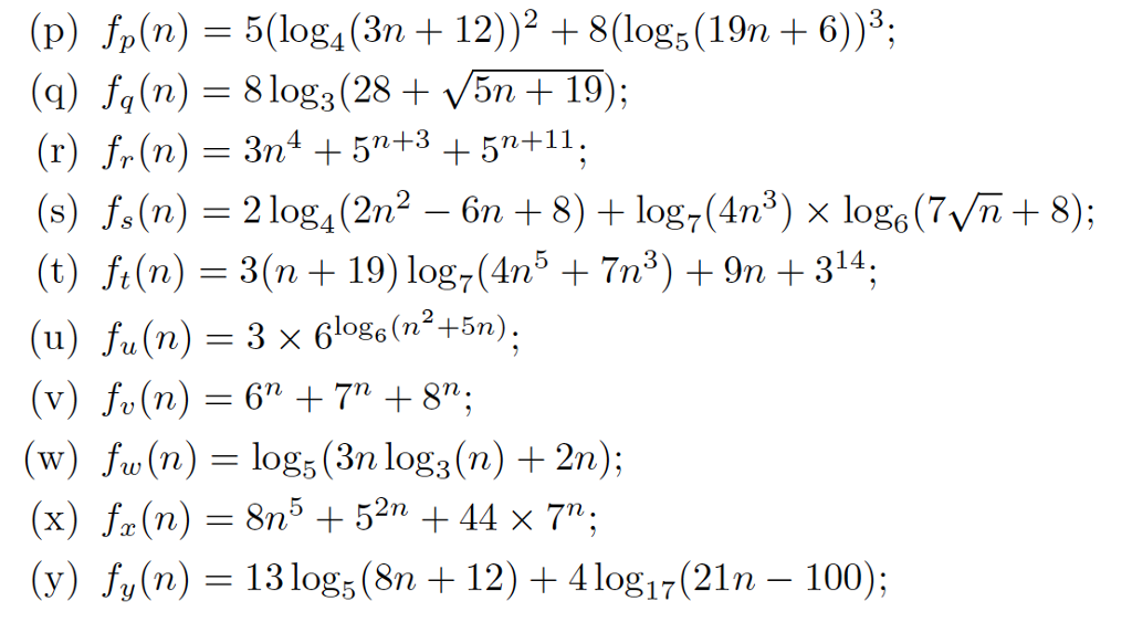
Question: CS Foundations: Data Structures and Algorithms Just show the answers, no steps needed, I will compare with my work. Thanks
CS Foundations: Data Structures and Algorithms


Just show the answers, no steps needed, I will compare with my work. Thanks
Step by Step Solution
There are 3 Steps involved in it
Get step-by-step solutions from verified subject matter experts
