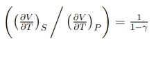
Question: ( ( d e l V d e l T ) S ( d e l V d e l T ) P ) =
Derive it properly by using maxwell relation and thermodynamic properties.
Step by Step Solution
There are 3 Steps involved in it
1 Expert Approved Answer
Step: 1 Unlock
Question Has Been Solved by an Expert!
Get step-by-step solutions from verified subject matter experts
Step: 2 Unlock
Step: 3 Unlock
