Question: D pleaseee ... doublet pulse input is provided. Thankk youuu!! 3. A liquid storage system is shown below. The normal operating conditions are 91 =
D pleaseee ... doublet pulse input is provided. Thankk youuu!!


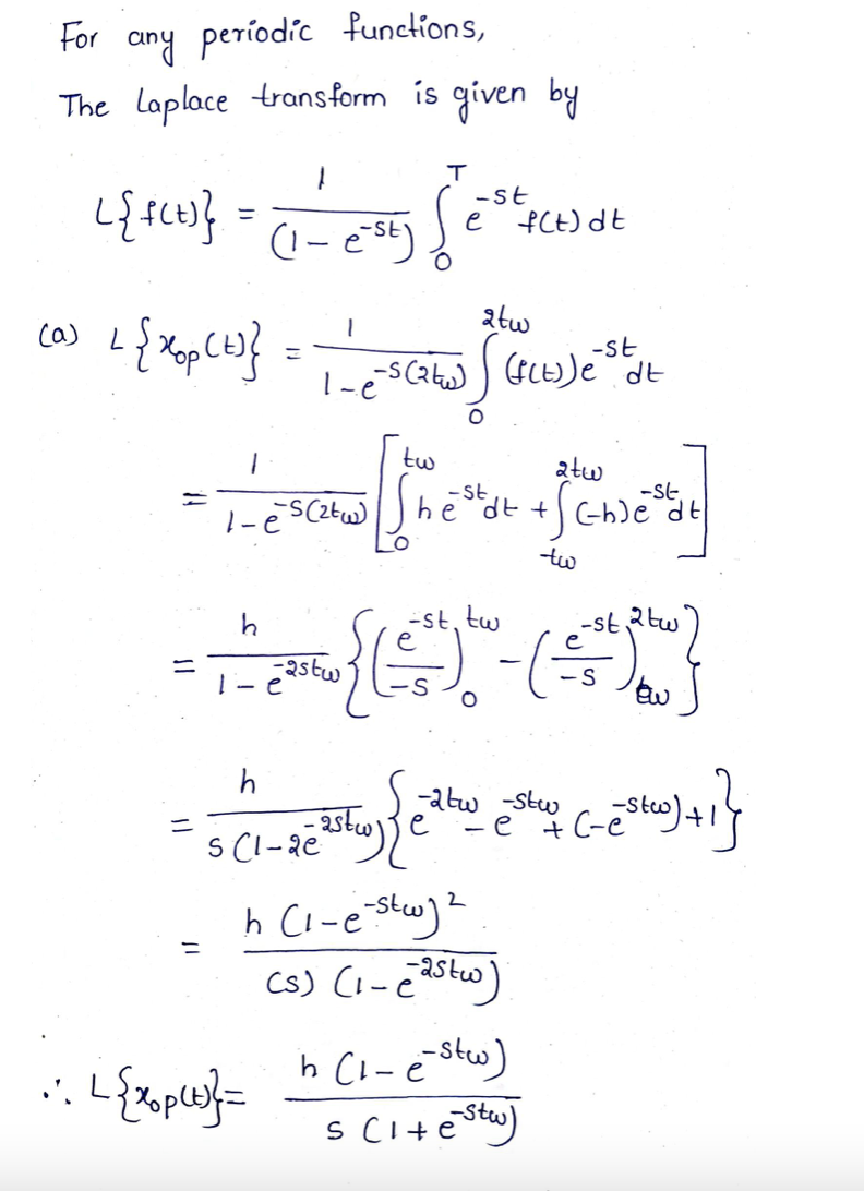
3. A liquid storage system is shown below. The normal operating conditions are 91 = 10 ft3/min, q2 = 5 ft3/min, h = 4 ft. The tank is 6 ft in diameter, and the density of each stream is 60 lb/ft3. Suppose that a pulse change in q occurs as shown in the figure. 21 42 9115 10 A 0 12 Time (min) (a) What is the transfer function relating Hto Qi (b) Derive an expression for h(t) for this input change. (c) What is the new steady-state value of liquid level h? (d) Repeat (b) and (c) for the sinusoidal input (3 sin(2t)) and doublet pulse input (same in Question 1) where the changes in q are from 10 to 15 to 5 to 10 ft/min. The doublet function is as shown in the figure. (a) Obtain the Laplace transform of the doublet function. (b) What is the response of the process *Dp(t) with the first-order transfer function, h K if the input of the process is a ts+1' 2tw doublet function. tw (c) What is the response of the -h K integrating process, if the input of S the process is doublet function. For any periodic functions, The Laplace transform is given by L{f(t)} T -st e f(t) dt (1 - st) O atw (a) L les(atu cuest o tw {1 30= cesty -) {top (t)} elsen et - {6-28 Escuela de la politice they 1} atw -SE -SE he edt + che at l-e scatw tw -st, tw ist 2tw h 25tw 1-e = -S Ew h -2tw stw -astwie estw) -s Cl + 2 h Ci-estwy? CS) Co-eastw h Co-estw) sClue stw) .: L{xpce) =
Step by Step Solution
There are 3 Steps involved in it
Get step-by-step solutions from verified subject matter experts
