Question: d) Using the single variable Im output on page 9, write out the regression equation for Weight on Height. In one sentence, interpret the estimated



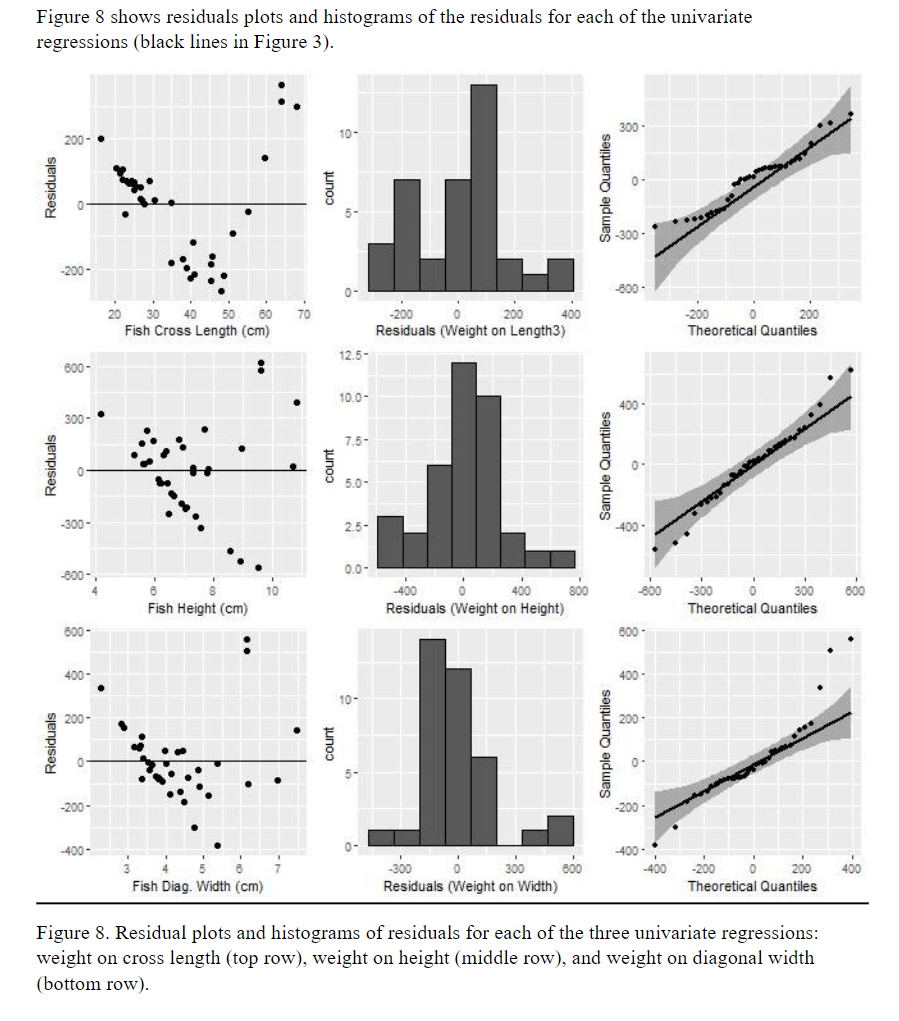
d) Using the single variable Im output on page 9, write out the regression equation for Weight on Height. In one sentence, interpret the estimated slope parameter for this regression in the context of the problem. (1.5 point) e) Report and in one sentence interpret the coefficient of determination for the regression of Weight on Length3 in the context of the problem. (1.5 point) f) Look at the plots in the middle row of Figure 8 on page 11. These are residual diagnostic plots for the single variable regression of fish Weight on fish Height. Consider three of the main assumptions for inference for linear regression (methods for inference will be covered in Lesson 8): linearity, constant variance, and normality of residuals. Do any of the three assumptions appear to be violated for this regression? Explain in no more than three sentences, one for each assumption. (1.5 points)Single Variable Linear Model Output Weight on Cross Length3 Call: Im (formula = Weight ~ Length3, data = FDatSub2) Coefficients : Estimate Std. Error t value Pr (>|t|) (Intercept) -635.139 73 . 694 -8 . 619 3.56e-10 * * * Length3 29. 195 1. 915 15. 244 |t|) (Intercept) -1251 . 17 212. 17 -5. 897 1. 06e-06 * * * Height 232 . 25 28 . 99 8. 012 1. 98e-09 * * * Residual standard error: 265.8 on 35 degrees of freedom Multiple R-squared: 0. 6472 Weight on Diagonal Width Call: Im (formula = Weight ~ Width, data = FDatSub2) Coefficients : Estimate Std. Error t value Pr(>|t|) (Intercept) -1079. 20 118. 37 -9.117 8. 99e-11 * * * Width 345 . 74 26.52 13. 038 5. 38e-15 * * * Residual standard error: 184.9 on 35 degrees of freedom Multiple R-squared: 0. 8293Figure 8 shows residuals plots and histograms of the residuals for each of the univariate regressions (black lines in Figure 3). 300 10 200- Sample Quantiles count Residuals 5- -300 200 -800 20 30 40 50 70 -200 0 200 400 -200 200 Fish Cross Length (cm) Residuals (Weight on Length3) Theoretical Quantiles 12.5 600 10.0 400 300- 7.5 Sample Quantiles count 0 Residuals 5.0 300 2.5 -400 0.0 B 400 400 800 -600 -300 300 Fish Height (cm) Residuals (Weight on Height) Theoretical Quantiles 600- 800 400- 400 10 200 200 Sample Quantiles count Residuals 5- -200- -200 - -400- 0- -400 - 3 -300 0 300 800 -400 -200 200 400 Fish Diag. Width (cm) Residuals (Weight on Width) Theoretical Quantiles Figure 8. Residual plots and histograms of residuals for each of the three univariate regressions: weight on cross length (top row), weight on height (middle row), and weight on diagonal width (bottom row)
Step by Step Solution
There are 3 Steps involved in it
Get step-by-step solutions from verified subject matter experts
