Question: Data are as given below: MCA Technology Solutions Private Limited was established in 2015 in Bangalore with an objective to integrate analytics and technology with




Data are as given below:





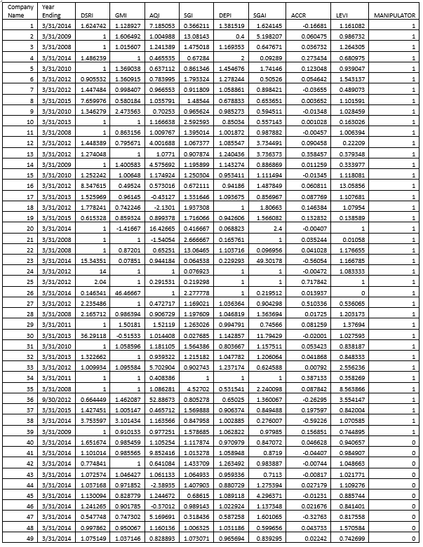
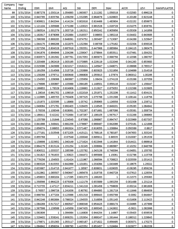
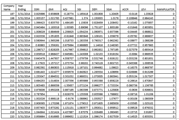
MCA Technology Solutions Private Limited was established in 2015 in Bangalore with an objective to integrate analytics and technology with business. MCA Technology Solutions helped its clients in areas such as customer intelligence, forecasting, optimization, risk assessment, web analytics, and text mining, and cloud solutions. Risk assessment vertical at MCA technology solutions focuses on problems such as fraud detection and credit scoring. Sachin Kumar, Director at MCA Technology Solutions, Bangalore was approached by one of his clients, a commercial bank, to assist them in detecting earning manipulators among the bank's customers. The bank provided business loans to small and medium enterprises and the value of loan ranged from INR 10 million to 500 million ( $1= INR 66.82 , August 16,2016 ). The bank suspected that their customers may be involved in earnings' manipulations to increase their chance of securing a loan. Saurabh Rishi, the Chief Data Scientist at MCA Technologies, was assigned the task of developing a use case for predicting earning manipulations. He was aware of models such as Beneish model that was used for predicting earning manipulations; however, he was not sure of its performance, especially in the Indian context. Saurabh decided to develop his own model for predicting earning manipulations using data downloaded from the Prowess database maintained by the Centre of Monitoring Indian Economy (CMIE). Daniel received information related to earning manipulators from Securities Exchange Board of India (SEBI) and the Lexis Nexis database. Data on 220 companies was collected to develop the model. Description of the columns is given in the following Table. In this table - netPPE is net Property, Plant, and Equipment. Property Plant and Equipment is the value of all buildings, land, furniture, and other physical capital that a business has purchased to run a business. - Subscript (t) means value in the current year financial statement and subscript (t1) means the value in the previous year financial statement. Days Sales to Receivables Index (DSRI) Gross Margin Index (GMI) Asset Quality Index (AQI) Sales Growth Index (SGI) SGI=Sales[11]Sales0] Depreciation Index (DEPI) Sales and General Administrative (SGAI) SGAI=Sales(01)SGAlExpense(11)Sales(t)SGAlExpense10ACCR=TotalAssests(t)ProfitafterTax(0)CashfromOperations(t) Accruals to Asset Ratio (ACCR) ACCR=TotalAssests(t)ProfitafterTax(0)CashfromOperations(t) Leverage Index (LEVI) MANIPULATOR 1 - Company has manipulated the financial statement (Manipulator) 0-Company has not manipulated the financial statement (Non-Manipulator) Answer the following questions using the above dataset. 1. How many cases of manipulators versus non-manipulators are there in the dataset? Draw a bar plot to depict. 2. Create a 80:20 partition, and find how many positives are present in the test data. 3. The number of cases of manipulators are very less compared to nonmanipulators. Use upsampling technique to create a balance dataset. 4. Build the following models using balanced dataset. Comment on which metric should be given preference for this dataset. Finalize the model for each technique after Hyperparameter tuning using GridsearchCV based on the metric selected. Compare the model performances with respect to different evaluation metrices. a. Nave Bayes b. KNN c. SVM d. Logistic regression e. Random Forest f. Adaboost g. Gradientboost h. XGBoost 5. Comment on which are the most important features for predicting the manipulators. 6. The number of cases of manipulators are very less compared to nonmanipulators. Use downsampling technique to create a balance dataset. 7. Compare the results of using both upsampling and downsampling techniques. Report the best model of all the models. \begin{tabular}{|c|c|c|c|c|c|c|c|c|c|c|} \hline \begin{tabular}{l} Company \\ Name \end{tabular} & \begin{tabular}{l} Year \\ Ending \end{tabular} & DSRI & GMI & AQI & 5GI & DEPI & SGAI & ACCR & LEVI & MANIPULATOR \\ \hline 1 & 3/31/2014 & 1.624742 & 1.128927 & 7.185053 & 0.366211 & 1.381519 & 1.624145 & -0.16681 & 1.161082 & 1 \\ \hline 2 & 3/31/2009 & 1 & 1.606492 & 1.004988 & 13.08143 & 0.4 & 5.198207 & 0.060475 & 0.966732 & 1 \\ \hline 3 & 3/31/2008 & 1 & 1.015607 & 1.241389 & 1.475018 & 1.169353 & 0.647671 & 0.036732 & 1.264305 & 1 \\ \hline 4 & 3/31/2014 & 1.486239 & 1 & 0.465535 & 0.67284 & 2 & 0.09289 & 0.273434 & 0.680975 & 1 \\ \hline 5 & 3/31/2010 & 1 & 1.369038 & 0.637112 & 0.861346 & 1.454676 & 1.74146 & 0.123048 & 0.939047 & 1 \\ \hline 6 & 3/31/2012 & 0.905532 & 1.360915 & 0.783995 & 1.793324 & 1.278244 & 0.50526 & 0.054642 & 1.543137 & 1 \\ \hline 7 & 3/31/2012 & 1.447484 & 0.998407 & 0.966553 & 0.911809 & 1.058661 & 0.898421 & -0.03655 & 0.489073 & 1 \\ \hline B & 3/31/2015 & 7.659976 & 0.580184 & 1.035791 & 1.48544 & 0.678833 & 0.653651 & 0.003652 & 1.101591 & 1 \\ \hline 9 & 3/31/2010 & 1.346279 & 2.473563 & 0.70253 & 0.965624 & 0.985273 & 0.594511 & -0.01348 & 1.028459 & 1 \\ \hline 10 & 3/31/2013 & 1 & 1 & 1.166638 & 2.592593 & 0.85034 & 0.557143 & 0.001028 & 0.163026 & 1 \\ \hline 11 & 3/31/2008 & 1 & 0.863156 & 1.009767 & 1.395014 & 1.001872 & 0.967882 & -0.00457 & 1.006394 & 1 \\ \hline 12 & 3/31/2012 & 1.448389 & 0.795671 & 4.001688 & 1.067377 & 1.085547 & 3.734491 & 0.090458 & 0.22209 & 1 \\ \hline 13 & 3/31/2012 & 1.274048 & 1 & 1.0771 & 0.907874 & 1.240436 & 3.736373 & 0.358457 & 0.379348 & 1 \\ \hline 14 & 3/31/2009 & 1 & 1.400583 & 4.575692 & 1.195899 & 1.143274 & 0.886869 & 0.011259 & 0.333977 & 1 \\ \hline 15 & 3/31/2010 & 1.252242 & 1.00648 & 1.174924 & 1.250304 & 0.953411 & 1.111494 & -0.01345 & 1.118081 & 1 \\ \hline 16 & 3/31/2012 & B. 347615 & 0.49524 & 0.573016 & 0.672111 & 0.94186 & 1.487849 & 0.060811 & 13.05856 & 1 \\ \hline 17 & 3/31/2013 & 1.525969 & 0.96145 & -0.43127 & 1.331646 & 1.093675 & 0.856967 & 0.067769 & 1.107681 & 1 \\ \hline 18 & 3/31/2012 & 1.778241 & 0.742246 & -2.1301 & 1.937308 & 1 & 1.80663 & 0.146384 & 1.07954 & 1 \\ \hline 19 & 3/31/2015 & 0.615328 & 0.859324 & 0.899378 & 1.716066 & 0.942606 & 1.566082 & 0.132832 & 0.138589 & 1 \\ \hline 20 & 3/31/2014 & 1 & -1.41667 & 16.42665 & 0.416667 & 0.068623 & 2.4 & -0.00407 & 1 & 1 \\ \hline 21 & 3/31/2008 & 1 & 1 & -1.54054 & 2.666667 & 0.165761 & 1 & 0.035244 & 0.01058 & 1 \\ \hline 22 & 3/31/2008 & 1 & 0.87201 & 0.65251 & 13.06465 & 1.103716 & 0.096956 & 0.041028 & 1.176655 & 1 \\ \hline 23 & 3/31/2014 & 15.34351 & 0.07851 & 0.944184 & 0.064538 & 0.229293 & 49.30178 & -0.56054 & 1.166785 & 1 \\ \hline 24 & 3/31/2012 & 14 & 1 & 1 & 0.076923 & 1 & 1 & -0.00472 & 1.083333 & 1 \\ \hline 25 & 3/31/2012 & 2.04 & 1 & 0.291531 & 0.219298 & 1 & 1 & 0.717842 & 1 & 1 \\ \hline 26 & 3/31/2014 & 0.146341 & 46.46667 & 1 & 2.277778 & 1 & 0.219512 & 0.013937 & 0 & 1 \\ \hline 27 & 3/31/2012 & 2.235486 & 1 & 0.472717 & 1.169021 & 1.036364 & 0.904298 & 0.510336 & 0.536065 & 1 \\ \hline 28 & 3/31/2008 & 2.165712 & 0.986394 & 0.906729 & 1.197609 & 1.046819 & 1.363694 & 0.01725 & 1.203173 & 1 \\ \hline 29 & 3/31/2011 & 1 & 1.50181 & 1.52119 & 1.263026 & 0.994791 & 0.74566 & 0.081259 & 1.37694 & 1 \\ \hline 30 & 3/31/2013 & 36.29118 & -0.51533 & 1.014408 & 0.027685 & 1.142857 & 11.79429 & -0.02001 & 1.027593 & 1 \\ \hline 31 & 3/31/2010 & 1 & 1.058596 & 1.181105 & 1.564386 & 0.803667 & 1.157511 & 0.053423 & 0.838187 & 1 \\ \hline 32 & 3/31/2013 & 1.322662 & 1 & 0.939322 & 1.215182 & 1.047782 & 1.206064 & 0.041868 & 0.848333 & 1 \\ \hline 33 & 3/31/2012 & 1.009934 & 1.095584 & 5.702904 & 0.902743 & 1.237174 & 0.624588 & 0.00792 & 2.556236 & 1 \\ \hline 34 & 3/31/2011 & 1 & 1 & 0.408386 & 1 & 1 & 1 & 0.387133 & 0.358269 & 1 \\ \hline 35 & 3/31/2008 & 1 & 1 & 1.086281 & 4.52702 & 0.531541 & 2.240098 & 0.067842 & 8.563866 & 1 \\ \hline 36 & 9/30/2012 & 0.664449 & 1.462087 & 52.88673 & 0.805278 & 0.65025 & 1.360067 & -0.26295 & 3.554147 & 1 \\ \hline 37 & 3/31/2015 & 1.427451 & 1.005147 & 0.465712 & 1.569888 & 0.906374 & 0.849488 & 0.197597 & 0.842004 & 1 \\ \hline 38 & 3/31/2014 & 3.753597 & 3.101434 & 1.163566 & 0.847958 & 1.002885 & 0.276007 & -0.59226 & 1.070585 & 1 \\ \hline 39 & 3/31/2009 & 1 & 0.910133 & 0.977251 & 1.578685 & 1.062822 & 0.97985 & 0.156851 & 0.744895 & 1 \\ \hline 40 & 3/31/2014 & 1.651674 & 0.985459 & 1.105254 & 1.117874 & 0.970979 & 0.847072 & 0.046628 & 0.940657 & 0 \\ \hline 41 & 3/31/2014 & 1.101014 & 0.985565 & 9.852416 & 1.013278 & 1.058948 & 0.8719 & -0.04407 & 0.984907 & 0 \\ \hline 42 & 3/31/2014 & 0.774841 & 1 & 0.641084 & 1.433709 & 1.263492 & 0.983887 & -0.00744 & 1.048663 & 0 \\ \hline 43 & 3/31/2014 & 1.072574 & 1.046427 & 1.061133 & 1.064933 & 0.959336 & 0.7113 & -0.00817 & 1.021771 & 0 \\ \hline 44 & 3/31/2014 & 1.037168 & 0.971852 & -2.38935 & 1.407903 & 0.880729 & 1.275394 & 0.027179 & 1.109276 & 0 \\ \hline 45 & 3/31/2014 & 1.130094 & 0.828779 & 1.244672 & 0.68615 & 1.089118 & 4.296371 & -0.01231 & 0.885744 & 0 \\ \hline 46 & 3/31/2014 & 1.241265 & 0.901785 & -0.37012 & 0.989143 & 1.022924 & 1.137348 & 0.021676 & 0.841401 & 0 \\ \hline 47 & 3/31/2014 & 0.547748 & 0.747302 & 5.169691 & 0.318436 & 0.587258 & 1.601065 & -0.32763 & 0.817558 & 0 \\ \hline 48 & 3/31/2014 & 0.997862 & 0.950067 & 1.160136 & 1.006325 & 1.031186 & 0.599656 & 0.043733 & 1.570584 & 0 \\ \hline 49 & 3/31/2014 & 1.075149 & 1.037146 & 0.828393 & 1.073071 & 0.965694 & 0.839295 & 0.02242 & 0.742699 & 0 \\ \hline \end{tabular} \begin{tabular}{|c|c|c|c|c|c|c|c|c|c|c|} \hline \begin{tabular}{l} Company \\ Name \end{tabular} & \begin{tabular}{l} Year \\ Ending \\ \end{tabular} & DSRI & GMI & AQI & SGI & DEPI & SGAI & ACCR & LEVI & MANIPULATOR \\ \hline 50 & 3/31/2014 & 0.911379 & 1.177777 & 0.964305 & 1.209116 & 0.918166 & 0.950886 & -0.00958 & 0.972586 & 0 \\ \hline 51 & 3/31/2014 & 1.312791 & 0.973455 & 0.516755 & 1.051325 & 1.061364 & 1.036694 & -0.08448 & 1.106378 & 0 \\ \hline 52 & 3/31/2014 & 0.690391 & 0.954616 & -2.11346 & 1.071969 & 1.100156 & 1.266827 & -0.13193 & 1.137605 & 0 \\ \hline 53 & 3/31/2014 & 0.531475 & 1.002974 & -3.7524 & 0.96545 & 0.868987 & 1 & 0.008934 & 2.542952 & 0 \\ \hline 54 & 3/31/2014 & 1.040148 & 1.11031 & 0.875016 & 1.251294 & 1.105324 & 1.103619 & -0.11377 & 1.020214 & 0 \\ \hline 55 & 3/31/2014 & 1.12BB69 & 1.066569 & 1.255903 & 0.863207 & 1.084629 & 1.233973 & -0.02104 & 1.457745 & 0 \\ \hline 56 & 3/31/2014 & 0.849625 & 0.95796 & 1.736096 & 1.086156 & 1.11973 & 0.728244 & -0.09872 & 0.980036 & 0 \\ \hline 57 & 3/31/2014 & 1.037076 & 0.986552 & 1.055848 & 1.2456 & 0.857706 & 1.016037 & -0.00139 & 0.971349 & 0 \\ \hline 58 & 3/31/2014 & 0.652776 & -20.8118 & 0.947132 & 1.700154 & 0.436644 & 0.918364 & -0.05597 & 1.33793 & 0 \\ \hline 59 & 3/31/2014 & 1.510234 & 1.467518 & 1.103944 & 0.714606 & 0.897296 & 0.364602 & -0.08955 & 1.106882 & 0 \\ \hline 60 & 3/31/2014 & 1.270093 & 131826 & 0.970412 & 0.932163 & 1.062368 & 1.089627 & -0.17235 & 1.199445 & 0 \\ \hline 61 & 3/31/2014 & 0.729195 & 1.270016 & 1.148607 & 1.125478 & 1.087616 & 0.929441 & -0.05684 & 0.933093 & 0 \\ \hline 62 & 3/31/2014 & 0.592325 & 0.905356 & 0.8438 & 1.145203 & 1.103762 & 1.140804 & -0.07203 & 0.663105 & 0 \\ \hline 63 & 3/31/2014 & 1.509018 & 1.079683 & 0.663975 & 0.995005 & 1.002966 & 1.01013 & -0.1397 & 1.155624 & 0 \\ \hline 64 & 3/31/2014 & 3.018628 & 0.789109 & 0.816912 & 0.256386 & 1.369647 & 2.027557 & 0.110765 & 1.058538 & 0 \\ \hline 65 & 3/31/2014 & 1.514965 & 0.9973 & -0.30754 & 1.021016 & 1.016975 & 1.140478 & -0.03563 & 1. 276761 & 0 \\ \hline 66 & 3/31/2014 & 1.020455 & 0.901727 & 1.028286 & 0.941808 & 0.976301 & 1.183319 & -0.03354 & 0.96394 & 0 \\ \hline 67 & 3/31/2014 & 1.037615 & 1.162411 & 0.979373 & 1.075186 & 1.017405 & 1.046974 & -0.05952 & 0.920323 & 0 \\ \hline 6B & 3/31/2014 & 0.886111 & 1.145705 & 0.795675 & 1.106116 & 0.948687 & 0.865558 & 0.015226 & 1.092295 & 0 \\ \hline 69 & 3/31/2014 & 1.549907 & 0.99671 & 1.343654 & 1.127157 & 0.920667 & 0.965469 & -0.12436 & 0.903109 & 0 \\ \hline 70 & 3/31/2014 & 0.887798 & 0.990712 & 1.118407 & 1.037764 & 0.741574 & 1.036787 & -0.05378 & 1.057349 & 0 \\ \hline 71 & 3/31/2014 & 1.151804 & 1.414833 & 1.017383 & 1.285269 & 0.700261 & 0.492971 & 0.010497 & 0.563518 & 0 \\ \hline 72 & 3/31/2014 & 0.583145 & 0.870008 & 1.084902 & 1.15652 & 1.119283 & 0.92919 & -0.04225 & 0.713285 & 0 \\ \hline 73 & 3/31/2014 & 0.930918 & 0.96062 & 1.262981 & 1.193305 & 0.932898 & 0.973681 & -0.08604 & 0.962981 & 0 \\ \hline 74 & 3/31/2014 & 0.839451 & 1.10285 & 1.435702 & 1.254838 & 0.930773 & 1.043627 & -0.0707 & 0.863701 & 0 \\ \hline 75 & 3/31/2014 & 1.189989 & 1.09479 & 0.847111 & 1.046526 & 1.033644 & 0.936495 & 0.018273 & 0.9971 & 0 \\ \hline 76 & 3/31/2014 & 4.952642 & 1.469672 & -0.23623 & 0.22199 & 0.938392 & 2.542639 & 0.03686 & 0.911416 & 0 \\ \hline 77 & 3/31/2014 & 3.832249 & -0.96068 & 1.400704 & 1.157536 & 1.43BB13 & 1.460379 & 0.183419 & 1.120737 & 0 \\ \hline 78 & 3/31/2014 & 1.154335 & 1.01111 & 1.170121 & 0.986775 & 1.056413 & 1.020656 & -0.11087 & 1.038568 & 0 \\ \hline 79 & 3/31/2014 & 1.141092 & 0.970997 & 2.638112 & 0.911914 & 1.037348 & 0.99618 & -0.05971 & 0.952708 & 0 \\ \hline 80 & 3/31/2014 & 0.927685 & 0.987919 & 0.570606 & 1.175658 & 1.003713 & 0.919583 & 0.026477 & 1.003619 & 0 \\ \hline 81 & 3/31/2014 & 0.551165 & 0.987933 & 0.949191 & 0.875 & 1.291481 & 0.950422 & -0.37135 & 1.046087 & 0 \\ \hline 82 & 3/31/2014 & 1.587257 & 1.005671 & 1.104679 & 0.731052 & 0.957237 & 1.390213 & 0.01979 & 0.677188 & 0 \\ \hline 83 & 3/31/2014 & 0.942182 & 1.06679 & 0.840315 & 1.361276 & 0.929333 & 1.02922 & -0.02532 & 0.909294 & 0 \\ \hline 84 & 3/31/2014 & 0.986057 & 0.915148 & 0.961982 & 1.082596 & 1.105168 & 0.977569 & -0.02203 & 0.960679 & 0 \\ \hline 85 & 3/31/2014 & 1.460241 & 2.285863 & 2.005086 & 0.836085 & 0.772062 & 1.065111 & 0.045949 & 1.055004 & 0 \\ \hline 86 & 3/31/2014 & 1.039538 & 0.914815 & 6.343375 & 1.142681 & 0.974963 & 0.906175 & -0.04165 & 0.882262 & 0 \\ \hline 87 & 3/31/2014 & 1.652996 & 1.064912 & 1.189043 & 0.894445 & 1.111181 & 0.968703 & 0.005427 & 1.085961 & 0 \\ \hline 8B & 3/31/2014 & 0.919555 & 1.013169 & 0.992219 & 1.107826 & 1.016385 & 0.909044 & 0.01123 & 0.674095 & 0 \\ \hline 89 & 3/31/2014 & 0.753407 & 1.569187 & 0.608109 & 1.164531 & 1.682438 & 0.871732 & -0.01367 & 0.763913 & 0 \\ \hline 90 & 3/31/2014 & 1.074412 & 0.829705 & 0.231529 & 1.004381 & 0.9778 & 1.101313 & -0.02595 & 0.851998 & 0 \\ \hline 91 & 3/31/2014 & 1.296039 & 1.421338 & 0.82264 & 0.963968 & 1.270364 & 0.966186 & 0.018583 & 1.07179 & 0 \\ \hline 92 & 3/31/2014 & 1.689929 & 1.158599 & 1.292686 & 0.622987 & 1.942486 & 0.990801 & -0.12043 & 1.178092 & 0 \\ \hline 93 & 3/31/2014 & 1.116236 & 0.997521 & -0.87247 & 1.085707 & 1.082164 & 0.97688 & -0.00988 & 1.154089 & 0 \\ \hline 94 & 3/31/2014 & 1.145236 & 0.95906 & 1.051618 & 1.041763 & 0.882012 & 1.018839 & -0.07115 & 1.045083 & 0 \\ \hline 95 & 3/31/2014 & 1.283847 & 1.229321 & -0.7636 & 1.450927 & 0.758165 & 0.838699 & 0.200641 & 0.871859 & 0 \\ \hline 96 & 3/31/2014 & 0.64476 & 1.128049 & 0.684873 & 1.240215 & 0.857022 & 0.829554 & -0.07628 & 0.933847 & 0 \\ \hline 97 & 3/31/2014 & 0.634834 & 0.94352 & 0.505356 & 1.124521 & 1.07091 & 0.972691 & -0.12764 & 0.758963 & 0 \\ \hline 96 & 3/31/2014 & 1.243013 & 0.954793 & 1.584274 & 0.89031 & 0.975677 & 1.005719 & -0.13404 & 0.97499 & 0 \\ \hline \end{tabular} \begin{tabular}{|c|c|c|c|c|c|c|c|c|c|c|} \hline \begin{tabular}{l} Company \\ Name \end{tabular} & \begin{tabular}{l} Year \\ Ending \end{tabular} & DSRI & GMI & AQI & 5GI & DEPI & SGAI & ACCR & LEVI & MANIPULATOR \\ \hline 99 & 3/31/2014 & 0.887278 & 1.030114 & 1.054893 & 1.063937 & 1.211282 & 1.058318 & -0.02583 & 0.996228 & 0 \\ \hline 100 & 3/31/2014 & 0.943785 & 0.635794 & 1.159259 & 1.332095 & 0.964678 & 1.629803 & -0.20189 & 0.923248 & 0 \\ \hline 101 & 3/31/2014 & 0.909921 & 0.842044 & 1.414134 & 0.802616 & 0.924466 & 1.483904 & -0.02152 & 0.859973 & 0 \\ \hline 102 & 3/31/2014 & 1.121104 & 1.005686 & 1.372289 & 1.120023 & 0.991526 & 1.029729 & -0.01075 & 0.838781 & 0 \\ \hline 103 & 3/31/2014 & 1.080524 & 1.001379 & 1.003719 & 1.191511 & 0.950242 & 0.905956 & -0.05309 & 1.141956 & 0 \\ \hline 104 & 3/31/2014 & 1.192617 & 0.878066 & 3.252884 & 1.019337 & 0.96653 & 1.335218 & -0.04402 & 0.943685 & 0 \\ \hline 105 & 3/31/2014 & 1.396388 & 0.869283 & 0.846091 & 0.874752 & 1.093497 & 2.713097 & -0.04269 & 1.325647 & 0 \\ \hline 105 & 3/31/2014 & 1.044175 & 0.966298 & 1.022875 & 1.132394 & 0.89709 & 1.175162 & -0.02304 & 0.936326 & 0 \\ \hline 107 & 3/31/2014 & 1.027256 & 0.804328 & 0.687918 & 1.350351 & 0.447968 & 0.835984 & 0.194115 & 1.060475 & 0 \\ \hline 108 & 3/31/2014 & 0.541876 & 0.994946 & 1.204296 & 1.239047 & 1.078844 & 0.853511 & -0.07461 & 1.004252 & 0 \\ \hline 109 & 3/31/2014 & 0.600573 & 0.281582 & 1.087761 & 0.917053 & 0.865673 & 0.998756 & -0.10396 & 1.090767 & 0 \\ \hline 110 & 3/31/2014 & 3.203489 & 1.062419 & 1.003195 & 0.370595 & 4.229119 & 1.022046 & 0.041263 & 0.853683 & 0 \\ \hline 111 & 3/31/2014 & 0.015096 & 1.043699 & 0.821017 & 0.916221 & 1.145947 & 1.048071 & -0.06698 & 0.785317 & 0 \\ \hline 112 & 3/31/2014 & 1.191059 & 1.014568 & 2.315726 & 1.230599 & 0.803825 & 1.521956 & 0.104699 & 1.014316 & 0 \\ \hline 113 & 3/31/2014 & 1.13B268 & 1.079711 & 0.800648 & 1.066808 & 1.055813 & 1.07874 & 0.060012 & 1.00295 & 0 \\ \hline 114 & 3/31/2014 & 1.134393 & 1.209066 & 1.660997 & 1.235956 & 1.08434 & 1.074128 & -0.03266 & 1.207059 & 0 \\ \hline 115 & 3/31/2014 & 1.176696 & 1.000897 & 1.103988 & 1.094185 & 1.148501 & 0.959116 & -0.01347 & 1.156447 & 0 \\ \hline 116 & 3/31/2014 & 1.199853 & 1.78329 & 0.924906 & 1.226663 & 1.212827 & 0.875053 & 0.132388 & 1.015805 & 0 \\ \hline 117 & 3/31/2014 & 1.28016 & 0.961702 & 1.106019 & 1.022019 & 1.251971 & 1.252206 & -0.11412 & 0.834131 & 0 \\ \hline 118 & 3/31/2014 & 1.110995 & 1.485703 & 0.750406 & 1.367325 & 1.075798 & 1.031398 & 0.106144 & 1.118756 & 0 \\ \hline 119 & 3/31/2014 & 1.131973 & 1.025395 & 1.18B68 & 1.03742 & 1.058965 & 1.126558 & -0.02308 & 1.238712 & 0 \\ \hline 120 & 3/31/2014 & 1.049064 & 1.071791 & 0.992403 & 1.328435 & 1.116545 & 0.849201 & -0.05283 & 1.084942 & 0 \\ \hline 121 & 3/31/2014 & 0.783338 & 1.108349 & 0.928061 & 1.702297 & 0.871681 & 1.687086 & -0.05381 & 1.008734 & 0 \\ \hline 122 & 3/31/2014 & 1.186411 & -0.42242 & 0.732684 & 3.167267 & 2.186105 & 1.567517 & -0.02268 & 1.093963 & 0 \\ \hline 123 & 3/31/2014 & 1.135789 & 1.01646 & 2.234545 & 0.97088 & 1.096867 & 0.994747 & 0.023969 & 0.637307 & 0 \\ \hline 124 & 3/31/2014 & 0.841986 & 1.349441 & 0.882256 & 1.378697 & 0.989487 & 0.942086 & 0.070181 & 1.121888 & 0 \\ \hline 125 & 3/31/2014 & 2.656074 & 0.96653 & 0.992824 & 0.571487 & 0.919055 & 1.208864 & 0.050389 & 0.8817 & 0 \\ \hline 126 & 3/31/2014 & 1.177181 & 1.015548 & 0.872205 & 1.415121 & 0.788116 & 0.780197 & 0.047653 & 1.303243 & 0 \\ \hline 127 & 3/31/2014 & 0.855768 & 1 & -0.67549 & 1.200048 & 0.695611 & 0.86535 & 0.010087 & 1.051539 & 0 \\ \hline 128 & 3/31/2014 & 1.136698 & 1.023652 & 1.040149 & 1.271624 & 0.922946 & 1.141844 & 0.014421 & 0.969918 & 0 \\ \hline 129 & 3/31/2014 & 0.964279 & 0.913124 & 1.151254 & 1.02245 & 1.006984 & 0.880997 & -0.10252 & 0.946769 & 0 \\ \hline 130 & 3/31/2014 & 0.806322 & 1.035337 & 1.285399 & 1.133782 & 1.043138 & 0.748394 & -0.04851 & 1.155783 & 0 \\ \hline 131 & 3/31/2014 & 1.341g23 & 0.761633 & 1.30623 & 1.044472 & 0.995888 & 1.15061 & -0.02786 & 1.115708 & 0 \\ \hline 132 & 3/31/2014 & 0.779256 & 1.154503 & -1.61424 & 1.121967 & 1.066594 & 0.708823 & 0.025559 & 1.031413 & 0 \\ \hline 133 & 3/31/2014 & 0.983026 & 0.615353 & 0.842999 & 1.101931 & 1.034094 & 1.043499 & -0.19675 & 1.25022 & 0 \\ \hline 134 & 3/31/2014 & 0.633687 & 1.014715 & 0.941677 & 1.28587 & 0.806631 & 1.629005 & -0.08295 & 0.959236 & 0 \\ \hline 135 & 3/31/2014 & 1.012862 & 1.085507 & 0.560647 & 1.065678 & 1.019738 & 0.940729 & -0.07613 & 1.129354 & 0 \\ \hline 136 & 3/31/2014 & 1.459633 & 0.690204 & 1.17295 & 0.601373 & 1.166263 & 1 & -0.21573 & 1.255063 & 0 \\ \hline 137 & 3/31/2014 & 1.358566 & 0.964225 & 0.875006 & 1.112179 & 0.933839 & 1.093259 & 0.001488 & 1.231214 & 0 \\ \hline 13. & 3/31/2014 & 0.713735 & -2.47117 & 0.834211 & 1.341219 & 1.091458 & 1.758609 & -0.00214 & 0.961808 & 0 \\ \hline 139 & 3/31/2014 & 0.76557 & 1.096726 & 1.241636 & 0.90792 & 0.994393 & 1.261719 & -0.11646 & 0.984939 & 0 \\ \hline 140 & 3/31/2014 & 0.666784 & 1.477204 & 0.123986 & 1.631319 & 0.999443 & 0.650789 & -0.0062 & 0.944947 & 0 \\ \hline 141 & 3/31/2014 & 0.942246 & 0.992684 & 0.786024 & 1.154535 & 1.316856 & 1.051145 & -0.01606 & 2.113423 & 0 \\ \hline 142 & 3/31/2014 & 1.084269 & 0.517217 & 2.660547 & 0.86B346 & 0.954425 & 0.838174 & -0.04965 & 1.157899 & 0 \\ \hline 143 & 3/31/2014 & 1.367598 & 1.139588 & 1.143659 & 0.947435 & 0.995045 & 1.242602 & -0.0821 & 1.062998 & 0 \\ \hline 144 & 3/31/2014 & 1.092806 & 1 & 1.094984 & 1.116608 & 0.944254 & 1.14867 & -0.05403 & 0.939538 & 0 \\ \hline 145 & 3/31/2014 & 1.329402 & 1.538241 & 0.906251 & 1.152934 & 0.989247 & 1.261444 & 0.186312 & 1.229843 & 0 \\ \hline 146 & 3/31/2014 & 1.179671 & 1.031363 & 1.053117 & 0.983187 & 1.071822 & 0.956495 & 0.003071 & 1.170273 & 0 \\ \hline 147 & 3/31/2014 & 1.094942 & 0.956034 & 1.089793 & 1.423352 & 0.852457 & 1.319494 & 0.023877 & 1.062339 & 0 \\ \hline \end{tabular} \begin{tabular}{|c|c|c|c|c|c|c|c|c|c|c|} \hline \begin{tabular}{l} Company \\ Name \end{tabular} & \begin{tabular}{l} Year \\ Ending \\ \end{tabular} & DSRI & GMI & AOI & 5GI & DEPI & SGAI & ACCR & LEVI & MANIPULATOR \\ \hline 148 & 3/31/2014 & 1.261517 & 2.137427 & 0.843375 & 0.95868 & 1.06018 & 1.131221 & -0.00374 & 1.031183 & 0 \\ \hline 149 & 3/31/2014 & 0.831574 & 0.974348 & 0.83762 & 1.004744 & 0.956645 & 1.068643 & -0.12123 & 0.654185 & 0 \\ \hline 150 & 3/31/2014 & 0.542378 & 0.877199 & 1.064936 & 1.653892 & 0.814418 & 1.127974 & 0.002655 & 0.993403 & 0 \\ \hline 151 & 3/31/2014 & 1.188619 & 0.759924 & 1.226515 & 1.098423 & 0.961684 & 0.89981 & 0.059916 & 1.069828 & 0 \\ \hline 152 & 3/31/2014 & 1.232191 & 1.063301 & 0.021349 & 0.964956 & 0.836885 & 1.103961 & 0.033289 & 0.998526 & 0 \\ \hline 153 & 3/31/2014 & 1.069406 & 1.101865 & -0.35697 & 1.309292 & 1.103071 & 0.906392 & -0.02116 & 1.11689 & 0 \\ \hline 154 & 3/31/2014 & 4.706672 & -0.68337 & -2.13148 & 0.264123 & 1.252908 & 1.468829 & -0.37656 & 2.043913 & 0 \\ \hline 155 & 3/31/2014 & 0.368205 & 0.738238 & 1.091881 & 0.828073 & 1.114002 & 1.747435 & -0.01399 & 0.763774 & 0 \\ \hline 156 & 3/31/2014 & 1.086063 & 1.015154 & 0.520894 & 1.058386 & 1.066506 & 1.021346 & 0.060189 & 1.017813 & 0 \\ \hline 157 & 3/31/2014 & 1.020954 & 5.287456 & -1.10716 & 1.141532 & 0.664619 & 1.443052 & -0.12804 & 0.965429 & 0 \\ \hline 158 & 3/31/2014 & 1.052651 & 1.08986 & 1.427345 & 0.966672 & 1.029554 & 1.099049 & -0.05662 & 1.004026 & 0 \\ \hline 159 & 3/31/2014 & 1.629439 & 0.555294 & 0.917026 & 1.106643 & 1.325075 & 1.220619 & 0.120408 & 0.891532 & 0 \\ \hline 160 & 3/31/2014 & 1.089167 & 1.367119 & 0.674608 & 1.493097 & 0.957831 & 0.864414 & 0.327068 & 1.037264 & 0 \\ \hline 161 & 3/31/2014 & 1.148397 & 1.096734 & 1.18BB46 & 1.080557 & 0.962043 & 0.960993 & -0.12702 & 0.5335501 & 0 \\ \hline 162 & 3/31/2014 & 1.381998 & 0.613017 & 0.875748 & 0.99652 & 1.075613 & 1.42702 & -0.04446 & 1.022949 & 0 \\ \hline 163 & 3/31/2014 & 1.253416 & 0.969969 & 0.979359 & 1.026431 & 1.070841 & 1.233052 & 0.040603 & 1.062739 & 0 \\ \hline 164 & 3/31/2014 & 0.803449 & 1.17396 & 1.182608 & 1.219999 & 1.068516 & 0.953282 & -0.0271 & 1.042436 & 0 \\ \hline 165 & 3/31/2014 & 0.61689 & 0.416008 & 0.531349 & 1.890668 & 3.139255 & 0.392786 & -0.01564 & 1.721417 & 0 \\ \hline 166 & 3/31/2014 & 1.693352 & 0.926505 & 1.028357 & 0.416543 & 0.50519 & 1.549472 & 0.000583 & 1.326812 & 0 \\ \hline 167 & 3/31/2014 & 1.404746 & 0.93459 & 3.98759 & 0.926783 & 1.103845 & 0.696446 & -0.1127 & 1.072661 & 0 \\ \hline 16B & 3/31/2014 & 0.968233 & 0.999875 & 1.094006 & 1.206066 & 1.008316 & 0.786821 & 0.019658 & 1.108309 & 0 \\ \hline 169 & 3/31/2014 & 2.022031 & -1.1356 & 0.621424 & 0.276895 & 1.509166 & 5.104329 & -0.00339 & 1.235871 & 0 \\ \hline 170 & 3/31/2014 & 1.124158 & 0.952744 & 1.250047 & 1.019313 & 1.082013 & 1.003986 & -0.03608 & 1.047923 & 0 \\ \hline 171 & 3/31/2014 & 0.745797 & 1.113368 & 3.522265 & 1.443108 & 0.677941 & 0.999738 & 0.043866 & 1.14025 & 0 \\ \hline 172 & 3/31/2014 & 1.381564 & 0.617463 & -0.66883 & 0.68298 & 1.370967 & 0.783608 & -0.04589 & 1.359964 & 0 \\ \hline 173 & 3/31/2014 & 1.171874 & 0.996499 & 1.024707 & 0.898345 & 1.032279 & 1.058101 & -0.04403 & 1.189473 & 0 \\ \hline 174 & 3/31/2014 & 0.813373 & 1.360195 & 1.033573 & 1.215468 & 1.047323 & 0.994543 & -0.12601 & 0.951836 & 0 \\ \hline 175 & 3/31/2014 & 1.102637 & 0.987862 & 2.037171 & 1.216639 & 0.988554 & 0.925455 & 0.035588 & 1.128963 & 0 \\ \hline 176 & 3/31/2014 & 1.56046 & 0.905B81 & 1.309288 & 1.205404 & 0.94366 & 0.968729 & -0.08886 & 1.024009 & 0 \\ \hline 177 & 3/31/2014 & 0.86658 & 1.011235 & -4.7124 & 1.024908 & 1.068138 & 1.05747 & -0.01981 & 1.043559 & 0 \\ \hline 178 & 3/31/2014 & 1.044763 & 1.154095 & 2.189108 & 1.470158 & 0.939989 & 1.256551 & 0.032909 & 0.91415 & 0 \\ \hline 179 & 3/31/2014 & 0.973789 & 1 & 1.76872 & 1.245602 & 0.902313 & 0.77983 & -0.028 & 0.749527 & 0 \\ \hline 180 & 3/31/2014 & 0.978522 & 0.997677 & 2.628205 & 1.106787 & 0.852377 & 1.013021 & 0.007639 & 1.002622 & 0 \\ \hline 181 & 3/31/2014 & 1.318461 & 1.349768 & 1.072411 & 0.978021 & 1.231771 & 0.592516 & -0.03192 & 1.060603 & 0 \\ \hline 182 & 3/31/2014 & 0.990083 & 1.01267 & 1.067842 & 0.966128 & 0.907435 & 1.130393 & 0.050784 & 0.940953 & 0 \\ \hline 183 & 3/31/2014 & 1.000942 & 1 & 0.59823 & 1.913092 & 0.836737 & 0.856373 & -0.11948 & 2.068996 & 0 \\ \hline 184 & 3/31/2014 & 1.198941 & 0.949258 & 1.086173 & 1.26007 & 1.003267 & 0.609513 & -0.12448 & 1.065658 & 0 \\ \hline 185 & 3/31/2014 & 1.669662 & 1 & 1.048738 & 0.668166 & 1.054006 & 0.527627 & -0.01593 & 0.937102 & 0 \\ \hline 186 & 3/31/2014 & 1.596236 & 0.984107 & 1.99458 & 0.537254 & 1.001776 & 2.782291 & -0.03571 & 0.939013 & 0 \\ \hline 187 & 3/31/2014 & 0.982399 & 0.437722 & 1.272203 & 1.079165 & 1.083422 & 1.06388 & -0.00679 & 0.909211 & 0 \\ \hline 18B & 3/31/2014 & 4.366689 & 0.857344 & 1.178984 & 1.531188 & 0.68BBg3 & 1.048539 & -0.06468 & 1.044649 & 0 \\ \hline 189 & 3/31/2014 & 0.462539 & 1.07744 & 1.016589 & 1.210664 & 0.828346 & 0.498663 & -0.06956 & 0.956747 & 0 \\ \hline 190 & 3/31/2014 & 0.905362 & 0.997196 & 1.420592 & 1.243445 & 0.939159 & 0.874763 & 0.002791 & 0.530592 & 0 \\ \hline 191 & 3/31/2014 & 0.98186 & 0.943005 & 1.040109 & 0.997923 & 0.967503 & 1.09072 & -0.11961 & 0.940061 & 0 \\ \hline 192 & 3/31/2014 & 0.629012 & 1.012164 & 1.553165 & 1.356162 & 0.850364 & 1.16229 & 0.065065 & 0.853376 & 0 \\ \hline 193 & 3/31/2014 & 1.328226 & 1 & 1.055137 & 0.964978 & 1.015269 & 0.921149 & -0.08434 & 0.925724 & 0 \\ \hline 194 & 3/31/2014 & 0.941364 & 1 & 0.781528 & 1.153019 & 0.956151 & 1.580139 & -0.12328 & 0.880885 & 0 \\ \hline 195 & 3/31/2014 & 0.684647 & 1.331615 & 0.978497 & 0.602893 & 0.999675 & 1.301418 & -0.10691 & 1.270844 & 0 \\ \hline 196 & 3/31/2014 & 0.906478 & 1.117315 & 1.952102 & 1.003547 & 0.901631 & 0.98446 & -0.08814 & 0.752482 & 0 \\ \hline \end{tabular} \begin{tabular}{|c|c|c|c|c|c|c|c|c|c|c|} \hline \begin{tabular}{l} Company \\ Name \end{tabular} & \begin{tabular}{l} Year \\ Ending \end{tabular} & DSRI & GMI & AO] & 5GI & DEPI & 5GAl & ACCR & LEVI & MANIPULATOR \\ \hline 197 & 3/31/2014 & 0.925996 & 0.938606 & -0.28774 & 1.165418 & 1.001908 & 1.20405 & -0.0116 & 1.03828 & 0 \\ \hline 196 & 3/31/2014 & 1.003157 & 1.021783 & 0.437981 & 1.374 & 1.150003 & 1.0178 & 0.108946 & 0.984243 & 0 \\ \hline 199 & 3/31/2014 & 1.066423 & 0.835753 & 1.484165 & 1.15638 & 0.828459 & 1.208452 & -0.10162 & 1.075857 & 0 \\ \hline 200 & 3/31/2014 & 0.943464 & 1.183018 & 1.00385 & 0.89096 & 1.751107 & 1.800189 & -0.01648 & 0.903851 & 0 \\ \hline 201 & 3/31/2014 & 1.006029 & 0.884649 & 1.258925 & 1.054234 & 1.090971 & 0.937396 & -0.04445 & 0.983922 & 0 \\ \hline 202 & 3/31/2014 & 0.920336 & 1.051835 & -0.61848 & 0.993846 & 1.109101 & 1.039078 & -0.05782 & 0.969937 & 0 \\ \hline 203 & 3/31/2014 & 0.580644 & 1.565298 & 1.018733 & 1.283358 & 0.790317 & 0.962362 & -0.08977 & 1.068289 & 0 \\ \hline 204 & 3/31/2014 & 0.60663 & 1.359261 & 0.675694 & 0.986385 & 1.14616 & 0.246393 & -0.07722 & 0.957863 & 0 \\ \hline 205 & 3/31/2014 & 2.296717 & 0.828205 & 1.417667 & 0.356613 & 0.992832 & 2.797195 & 0.027079 & 0.693414 & 0 \\ \hline 206 & 3/31/2014 & 0.939518 & 0.968437 & 0.945961 & 1.243008 & 1.02133 & 0.919154 & -0.0084 & 0.966535 & 0 \\ \hline 207 & 3/31/2014 & 0.643478 & 1.447937 & 4.558707 & 1.079759 & 0.532748 & 0.926132 & 0.033238 & 0.801931 & 0 \\ \hline 206 & 3/31/2014 & 2.17915 & 1.157217 & 1.073734 & 0.98202 & 0.740129 & 0.802723 & 0.045368 & 1.008536 & 0 \\ \hline 209 & 3/31/2014 & 0.982392 & 0.860633 & 1.115918 & 1.197101 & 0.994682 & 1.09823 & -0.16375 & 0.968797 & 0 \\ \hline 210 & 3/31/2014 & 0.681443 & 1.021077 & 0.939578 & 0.840923 & 1.293534 & 1.106956 & 0.026886 & 0.913299 & 0 \\ \hline 211 & 3/31/2014 & 1.253047 & 0.994532 & 0.301032 & 0.969331 & 1.070005 & 0.863941 & 0.053134 & 1.017307 & 0 \\ \hline 212 & 3/31/2014 & 0.694253 & 1.014834 & 2.007356 & 0.955989 & 0.953388 & 0.858228 & -0.26614 & 1.670847 & 0 \\ \hline 213 & 3/31/2014 & 1.803483 & 0.869359 & -1.55657 & 1.072134 & 0.996277 & 0.733334 & 0.060736 & 1.136785 & 0 \\ \hline 214 & 3/31/2014 & 0.976006 & 0.950208 & 0.897195 & 1.063399 & 0.873771 & 1.125808 & -0.0636 & 0.506631 & 0 \\ \hline 215 & 3/31/2014 & 0.787954 & 1 & 0.826378 & 1.135308 & 0.935586 & 1.788802 & -0.08716 & 1.01206 & 0 \\ \hline 216 & 3/31/2014 & 1.002026 & 0.996118 & -0.9176 & 1.086962 & 1.030527 & 1.07677 & -0.00108 & 1.050009 & 0 \\ \hline 217 & 3/31/2014 & 0.909365 & 1.170298 & 1.971874 & 1.279013 & 0.971605 & 0.965939 & -0.03585 & 1.025102 & 0 \\ \hline 218 & 3/31/2014 & 0.937403 & 0.973292 & 1.131131 & 1.083577 & 1.050011 & 0.959512 & -0.09528 & 0.976332 & 0 \\ \hline 219 & 3/31/2014 & 1.044944 & 1.021424 & 4.437887 & 0.87079 & 1.026489 & 1.060493 & -0.15715 & 0.91607 & 0 \\ \hline 220 & 3/31/2014 & 0.956664 & 0.916985 & 0.999652 & 1.121524 & 1.096174 & 0.927539 & -0.14525 & 0.935351 & 0 \\ \hline \end{tabular}
Step by Step Solution
There are 3 Steps involved in it
Get step-by-step solutions from verified subject matter experts
