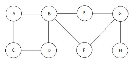
Question: Data structures in Java Thanks in advance! 6. Produce a depth-first spanning tree for the graph in file hw9_graph_letters.png. Show as in slide 124, labeling
Data structures in Java Thanks in advance! 6. Produce a depth-first spanning tree for the graph in file hw9_graph_letters.png. Show as in slide 124, labeling Num(v) and Low(v) for each vertex and identifying all articulation points.


Step by Step Solution
There are 3 Steps involved in it
1 Expert Approved Answer
Step: 1 Unlock
Question Has Been Solved by an Expert!
Get step-by-step solutions from verified subject matter experts
Step: 2 Unlock
Step: 3 Unlock
