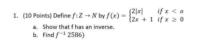
Question: Define : by () = {2|| 2 + 1 0 a. Show that f has an inverse. b. Find 1 2586) 1. (10 Points) Define
Define : by () = {2|| 2 + 1 0 a. Show that f has an inverse. b. Find 1 2586)
1. (10 Points) Define f:ZN by f(x)={2x2x+1ifx
Step by Step Solution
There are 3 Steps involved in it
Get step-by-step solutions from verified subject matter experts
