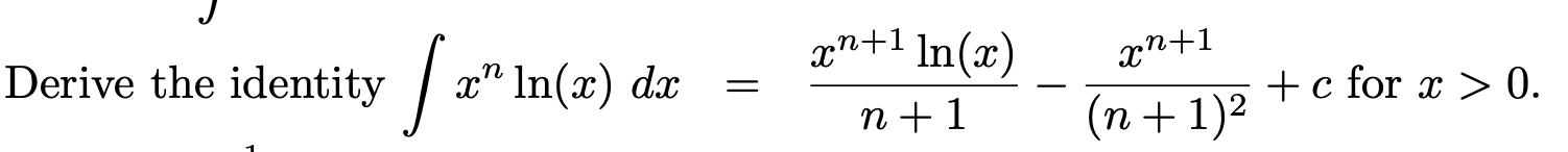
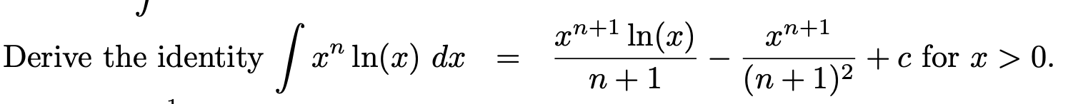
Question: Derive the identity / In(x) dx = anti In(x) xn+1 n +1 (n + 1)2 + c for x > 0


Derive the identity / " In(x) dx = anti In(x) xn+1 n +1 (n + 1)2 + c for x > 0
Step by Step Solution
There are 3 Steps involved in it
Get step-by-step solutions from verified subject matter experts
