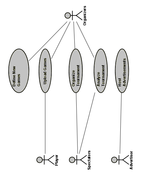
Question: Description ARENA Game System: ARENA is a multi-user, Web-based system for organizing and conducting tournaments. ARENA is game independent in the sense that organizers can
Description ARENA Game System: ARENA is a multi-user, Web-based system for organizing and conducting tournaments. ARENA is game independent in the sense that organizers can adapt a new game to the ARENA game interface, upload it to the ARENA server, and immediately announce and conduct tournaments with players and spectators located anywhere on the Internet. Organizers can also define new tournament styles, describing how players are mapped to a set of matches and how to compute an overall ranking of players by adding up their victories and losses (hence, figuring out who won the tournament). To recoup their operational costs, organizers can also invite potential sponsors to display advertisement banners during games. Create a Class Diagram for the Arena Game System based on your use-case diagram that embodies the primary classes. This should be a high-level class diagram with the important objects and their relationships. Make sure to include properties and behavior (high-level) for the classes. Also provide relationships/associations between classes along with the multiplicity. For special associations indicate if it is an aggregation, composition, or inheritance. Show at least one instance of inheritance association. **Use-Case Diagram is attached for reference. **
Host Advertisements
Step by Step Solution
There are 3 Steps involved in it
Get step-by-step solutions from verified subject matter experts
