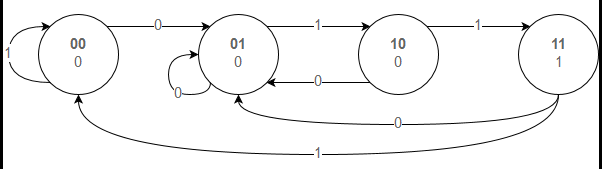
Question: Description Implement the Moore machine in file Lab 1 8 _ Moore _ Machine.png You will also be outputting your states to ensure proper states
Description
Implement the Moore machine in file LabMooreMachine.png
You will also be outputting your states to ensure proper states are being achieved.
Use the following code as base:
module topCLK E A B Q;
input E CLK;
output A B Q;
Logic
endmodule
Step by Step Solution
There are 3 Steps involved in it
1 Expert Approved Answer
Step: 1 Unlock
Question Has Been Solved by an Expert!
Get step-by-step solutions from verified subject matter experts
Step: 2 Unlock
Step: 3 Unlock
