Question: Determine a region whose area is equal to the given limit. Do not evaluate the limit. . 2 2' m 20- JLTO(Z;(5+#) ) f:






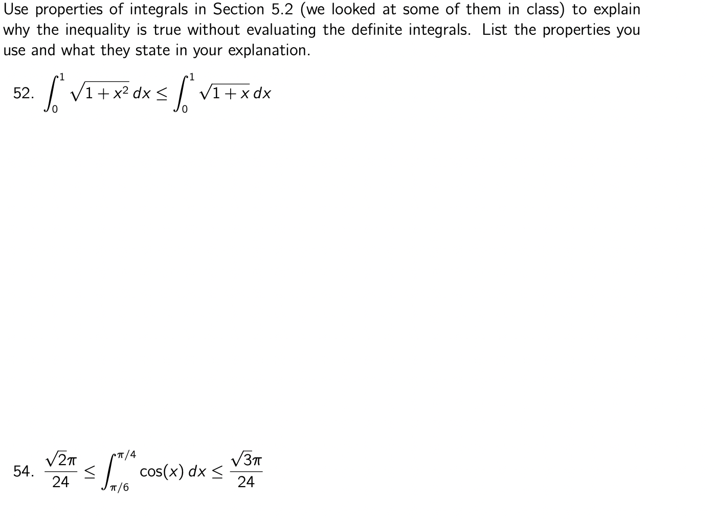
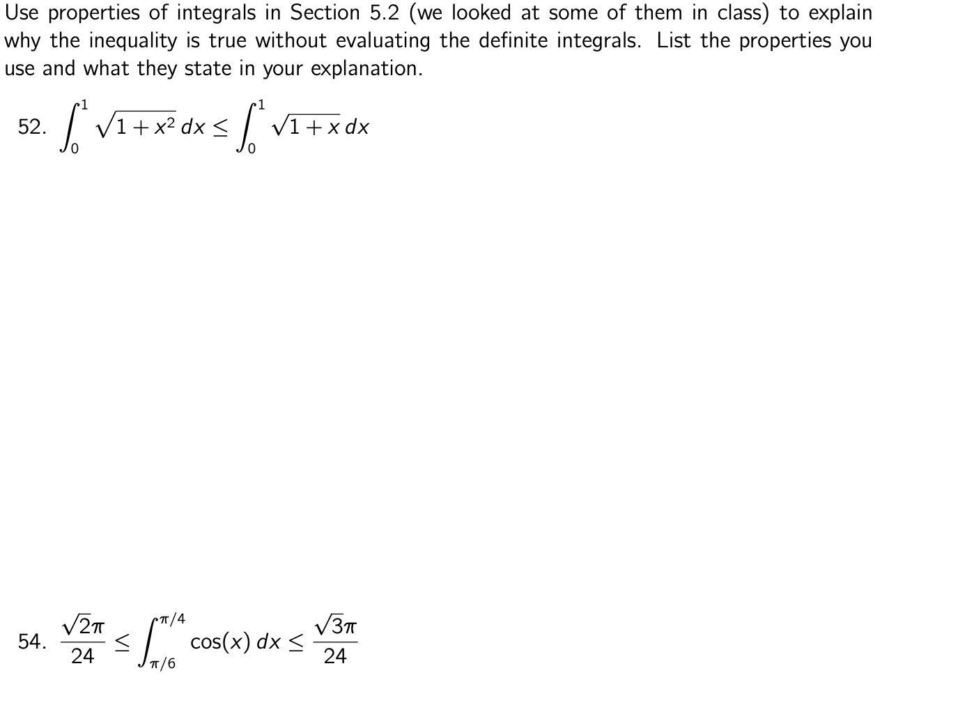
Determine a region whose area is equal to the given limit. Do not evaluate the limit. . \" 2 2' m 20- JLTO(Z;(5+#) ) f: fl . 71' HT 21. |' E it (7) nggo( 4n an 4n ) i=1 30. Express the integral as a limit of Riemann sums using n subintervals, and draw an accurate graph which depicts the area being calculated by the definite integral, complete with numbers on the x- and y-axes. Do not evaluate the limit. x2 sin(x) dx Note that " sin(7 /2) ~ 2.5 and "- sin(37 /2) ~ -22.Use properties of integrals in Section 5.2 (we looked at some of them in class) to explain why the inequality is true without evaluating the definite integrals. List the properties you use and what they state in your explanation. I l 52. / V1+x2dng v1+xdx o a 2 arr/4 54. _1r g / cos(x) dx 5 & W5 24
Step by Step Solution
There are 3 Steps involved in it
Get step-by-step solutions from verified subject matter experts
