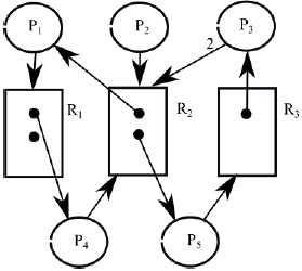
Question: Determine by graph reduction if a deadlock is present. An edge with an integer as label represents the number of resource units requested. [You need
Determine by graph reduction if a deadlock is present. An edge with an integer as label represents the number of resource units requested. [You need not show each step. If a deadlock is not present simply state so. If a deadlock is present, show the final stage of the reduction.]
c)

d)

P, R R, 2
Step by Step Solution
There are 3 Steps involved in it
Get step-by-step solutions from verified subject matter experts
