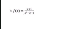
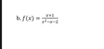
Question: Determine if the function is continuous. If the function is not continuous, find the x-axis location and classify the discontinuity: fb. f (x)ff. f (x)




Determine if the function is continuous. If the function is not continuous, find the x-axis location and classify the discontinuity:




\fb. f (x)\ff. f (x) =[-xx>0 0.x
Step by Step Solution
There are 3 Steps involved in it
Get step-by-step solutions from verified subject matter experts
