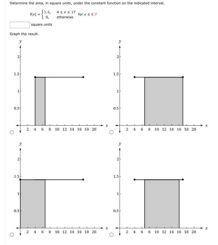
Question: Determine the area in square units under the constant function on the indicated interval 1 4 0 square units Graph the result y 2 1


Determine the area in square units under the constant function on the indicated interval 1 4 0 square units Graph the result y 2 1 5 0 5 2 1 5 1 0 5 f x 2 4 6 2 4 6 00 4 x 17 otherwise for x 6 7 10 12 14 16 18 20 8 10 12 14 16 18 20 X 2 1 5 1 0 5 2 1 5 1 0 5 2 4 2 4 6 6 8 10 12 14 16 18 20 8 10 12 14 16 18 20 X X
Step by Step Solution
There are 3 Steps involved in it
Get step-by-step solutions from verified subject matter experts
