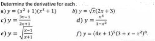
Question: Determine the derivative for each.. a) y = (x + 1) (x +1) 3x-1 c) y = 2x+1 e) y = x-1 x+1 b)

Determine the derivative for each.. a) y = (x + 1) (x +1) 3x-1 c) y = 2x+1 e) y = x-1 x+1 b) y =x(2x +3) d) y =x f) y = (4x + 1)(3+x-x).
Step by Step Solution
3.48 Rating (165 Votes )
There are 3 Steps involved in it
Get step-by-step solutions from verified subject matter experts
