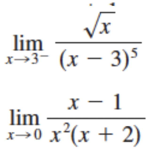
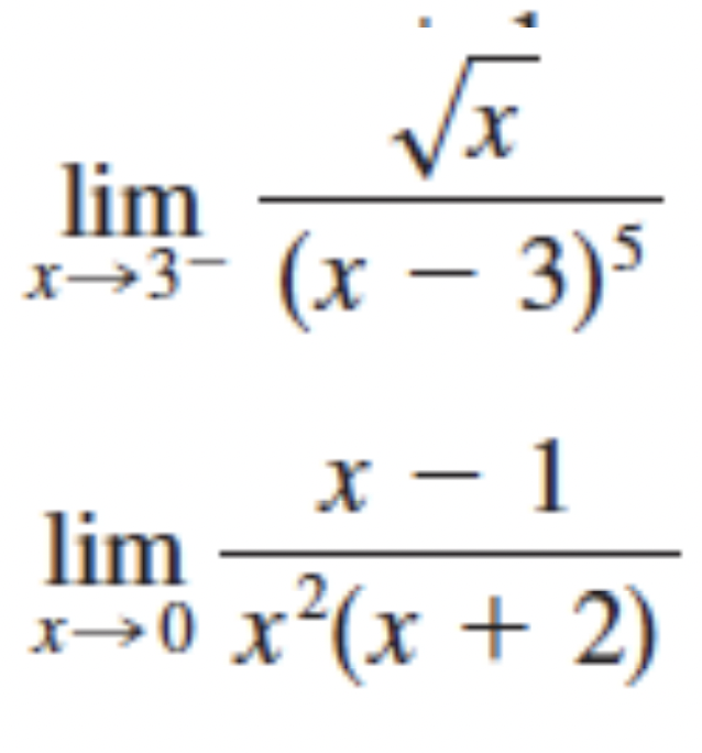
Question: Determine the infinite limit lim VX X-3 x - x - 1 lim xox ( x + 2) lim x2(X + 2)

Determine the infinite limit

lim VX X-3 x - x - 1 lim xox ( x + 2)
lim x2(X + 2)
Step by Step Solution
There are 3 Steps involved in it
Get step-by-step solutions from verified subject matter experts
