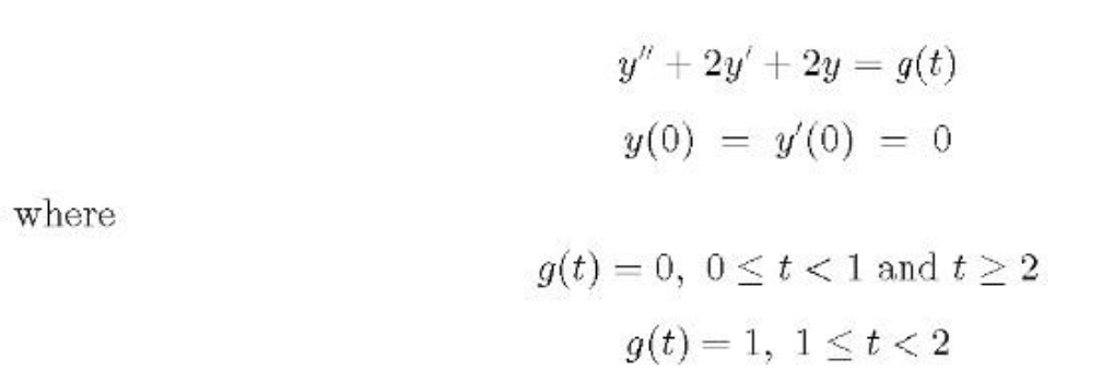
Question: determine the solution of the initial value problem using laplace transform methods (no convolutional integral) y where g(t) 0 g(t) O, C) s: t <

determine the solution of the initial value problem using laplace transform methods (no convolutional integral)

y where g(t) 0 g(t) O, C) s: t < 1 and t 2 2
Step by Step Solution
There are 3 Steps involved in it
Get step-by-step solutions from verified subject matter experts
