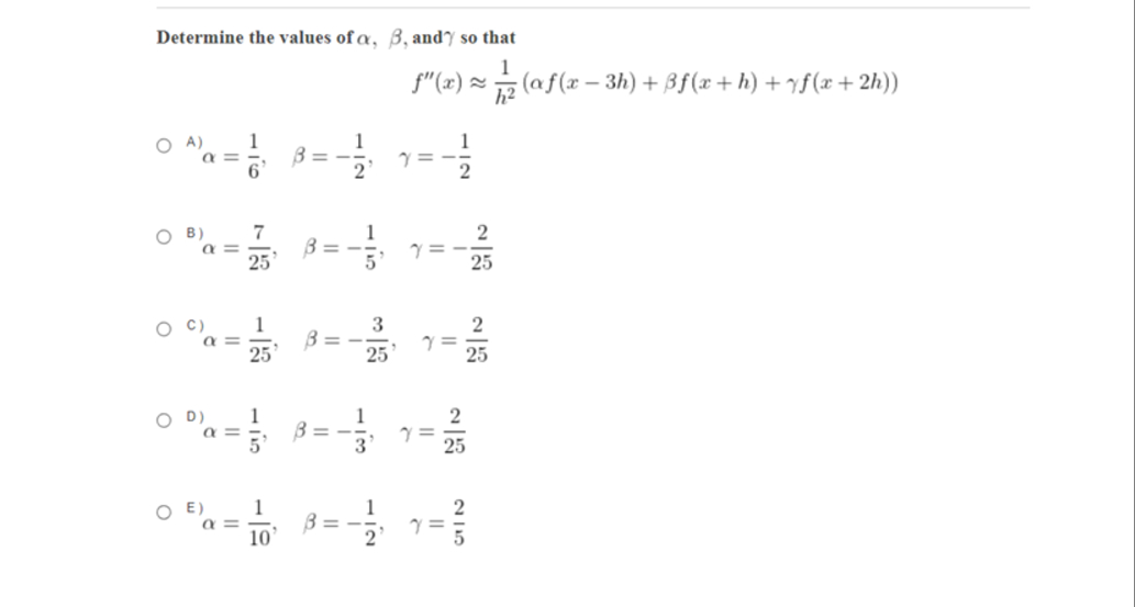
Question: Determine the values o f , , and s o that f ' ' ( x ) ~~ 1 h 2 ( f ( x
Determine the values and that
~~
Step by Step Solution
There are 3 Steps involved in it
1 Expert Approved Answer
Step: 1 Unlock
Question Has Been Solved by an Expert!
Get step-by-step solutions from verified subject matter experts
Step: 2 Unlock
Step: 3 Unlock
