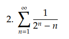
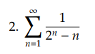
Question: Determine whether it converges or diverges using limit comparison test, ordinary comparison test, or alternating series test.

Determine whether it converges or diverges using limit comparison test, ordinary comparison test, or alternating series test.

Step by Step Solution
There are 3 Steps involved in it
Get step-by-step solutions from verified subject matter experts
