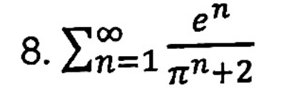
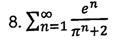
Question: determine whether the following series are convergent or divergent determine whether the following series are convergent or divergent.




determine whether the following series are convergent or divergent
determine whether the following series are convergent or divergent.
Step by Step Solution
There are 3 Steps involved in it
Get step-by-step solutions from verified subject matter experts
