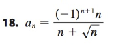
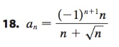
Question: Determine whether the sequence converges or diverges. If it converges, find the limit. 18. an

Determine whether the sequence converges or diverges. If it converges, find the limit.

18. an
Step by Step Solution
There are 3 Steps involved in it
Get step-by-step solutions from verified subject matter experts
