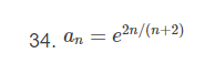
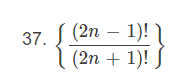
Question: Determine whether the sequence converges or diverges. If it converges, find the limit.3vn 28. an = n +237. (2n - 1)! (2n + 1)!fDetermine whether








Determine whether the sequence converges or diverges. If it converges, find the limit.3vn 28. an = n +237. (2n - 1)! (2n + 1)!\fDetermine whether the sequence is increasing, decreasing, or not monotonic. Is the sequence bounded?
Step by Step Solution
There are 3 Steps involved in it
Get step-by-step solutions from verified subject matter experts
