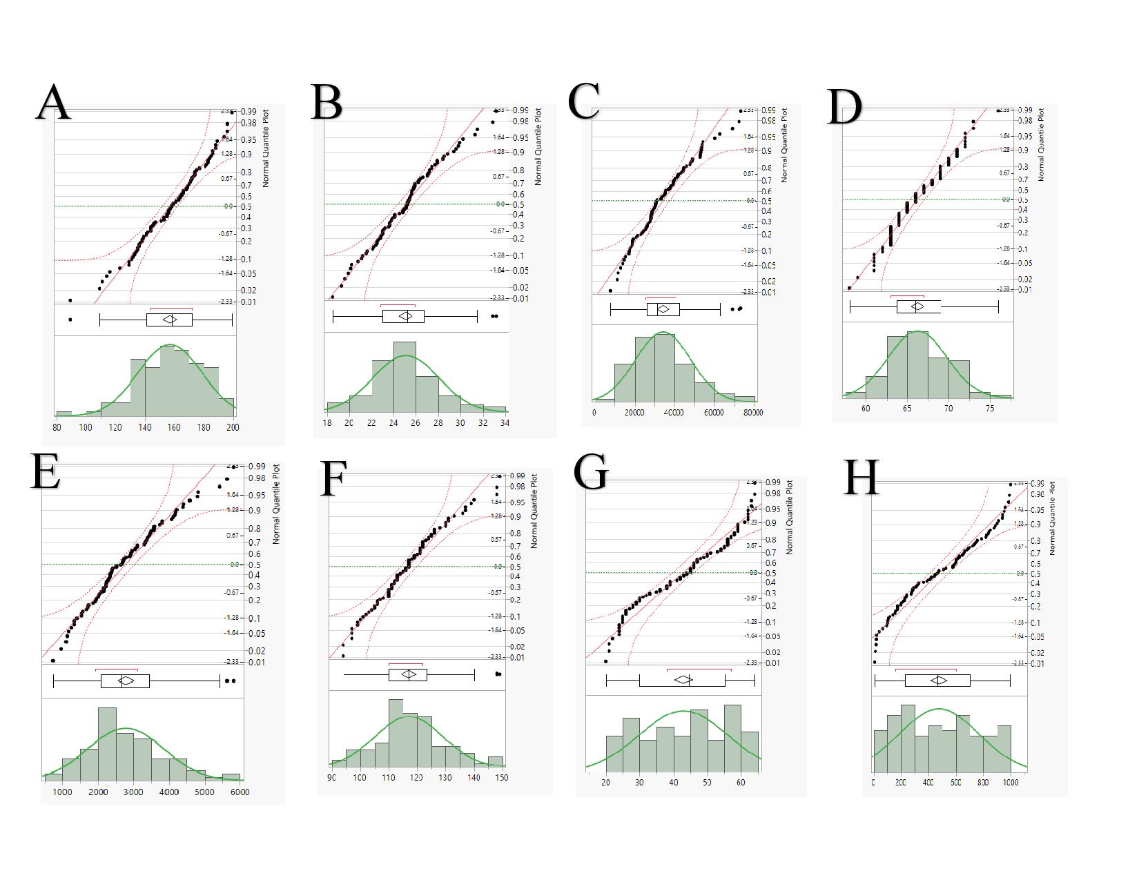
Question: Determine which graphs (graphs A-H) illustrate a normal distribution or which graphs will normality be acceptable . Provide a reasoning for your conclusion. f
Determine which graphs (graphs A-H) illustrate a normal distribution or which graphs will normality be acceptable. Provide a reasoning for your conclusion.

\f
Step by Step Solution
There are 3 Steps involved in it
Get step-by-step solutions from verified subject matter experts
