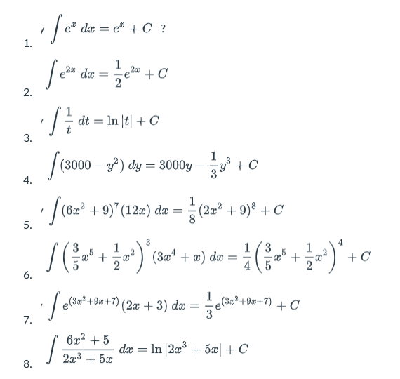
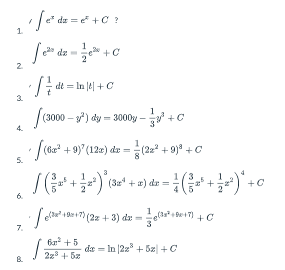
Question: Determine which rule(s) would be used to solve each integration function. (select all that apply). A. Constant Rule B. Simple Power Rule C. Simple Exponential

Determine which rule(s) would be used to solve each integration function. (select all that apply).
A. Constant Rule
B. Simple Power Rule
C. Simple Exponential Rule
D. Simple Logarithmic Rule
E. General Power Rule F. General Exponential Rule
G. General Logarithmic Rule
H. Multiplication by a Constant Rule
I. Addition/Subtraction Rule

Step by Step Solution
There are 3 Steps involved in it
Get step-by-step solutions from verified subject matter experts
