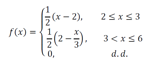
Question: Develop a generation scheme for the triangular distribution with probability density function and generate 10 values of random variate using the random number below. Then,
Develop a generation scheme for the triangular distribution with probability density function

and generate 10 values of random variate using the random number below. Then, compute the sample, and compare it to the true mean of the distribution.
0.30,, 0.92,, 0.64,, 0.91,, 0.43,, 0.04,, 0.13 ,,0.10,, 0.41,, 0.81
2Step by Step Solution
There are 3 Steps involved in it
Get step-by-step solutions from verified subject matter experts
