Question: Develop each item from this point to reach the conclusion. a) Find a MacLaurin series for the function, ? f ( x ) = a
Develop each item from this point to reach the conclusion.
a) Find a MacLaurin series for the function, ?f(x)=arctan(x)?
b) Find the interval and radius of convergence.
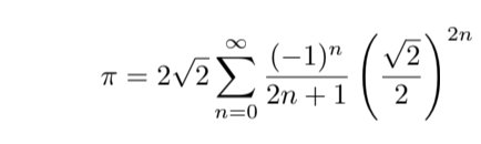
c) Discuss why this series converges for the value ?x=?2/2? . Then evaluate the series and
function at this point and show the identity:
(the image below is for question c) )

Step by Step Solution
There are 3 Steps involved in it
Get step-by-step solutions from verified subject matter experts
