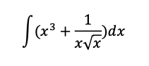
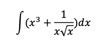
Question: Develop the selected exercise using algebra, trigonometry and mathematical properties to reduce functions to immediate integrals. Remember not to make use of the integration methods

Develop the selected exercise using algebra, trigonometry and mathematical properties to reduce functions to immediate integrals. Remember not to make use of the integration methods (substitution, integration by parts, etc.), and check your answer by deriving the result

( x3 + dx xvx
Step by Step Solution
There are 3 Steps involved in it
Get step-by-step solutions from verified subject matter experts
