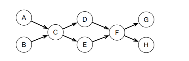
Question: DFS mechanics. Run Tarjan's DFS-based topological sorting algorithm on the graph in Exercise 1. Whenever there is a choice of vertices, choose the one that


DFS mechanics. Run Tarjan's DFS-based topological sorting algorithm on the graph in Exercise 1. Whenever there is a choice of vertices, choose the one that is alphabetically first. Show the DFS forest, including discovery and finishing times. Give the resulting topological ordering of the vertices
Step by Step Solution
There are 3 Steps involved in it
Get step-by-step solutions from verified subject matter experts
