Question: Difference of two matrices.java Write a program that accepts two 3 x 3 matrices and invokes a method to subtract them together. The formula for
Difference of two matrices.java
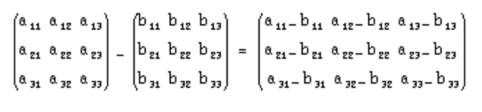
Write a program that accepts two 3 x 3 matrices and invokes a method to subtract them together. The formula for subtracting two matrices is shown below:

You will need:
1.) A scanner object to read the values that fill the arrays
2.) Three 2-dimensional arrays:
-One to store the values in the first 3x3 matrix
-One to store the values in the second 3x3 matrix
-One to store the difference of the values from the first two matrices
3.) A method that subtracts the two matrices using the formula above. The method should accept the first and second matrices as parameters (i.e. a and b,) and return an array. (The array should be returned to the matrix in part c.)
4.) Comments where necessary.
A sample of the output is shown below:
Enter matrix1: 29 28 27 26 25 24 23 22 21
Enter matrix2: 1 2 3 4 5 6 7 8 9
The difference of the matrices is:
29.0 28.0 27.0
26.0 25.0 24.0
23.0 22.0 21.0
-
1.0 2.0 3.0
4.0 5.0 6.0
7.0 8.0 9.0
=
28.0 26.0 24.0
22.0 20.0 18.0
16.0 14.0 12.0
6 11 12 13 11 12 13 21 22 23-21 22 23 21-D 21 a 22-D 22 a 23-D 23 31 3233 131 32 32 33-3
Step by Step Solution
There are 3 Steps involved in it
Get step-by-step solutions from verified subject matter experts
