Question: Differential Stability question, I also included examples. Differentiation Stability Determine the relation ship of A and B dtdA=kA2BdtdB=3BA2+1 a. one value of B that acheives



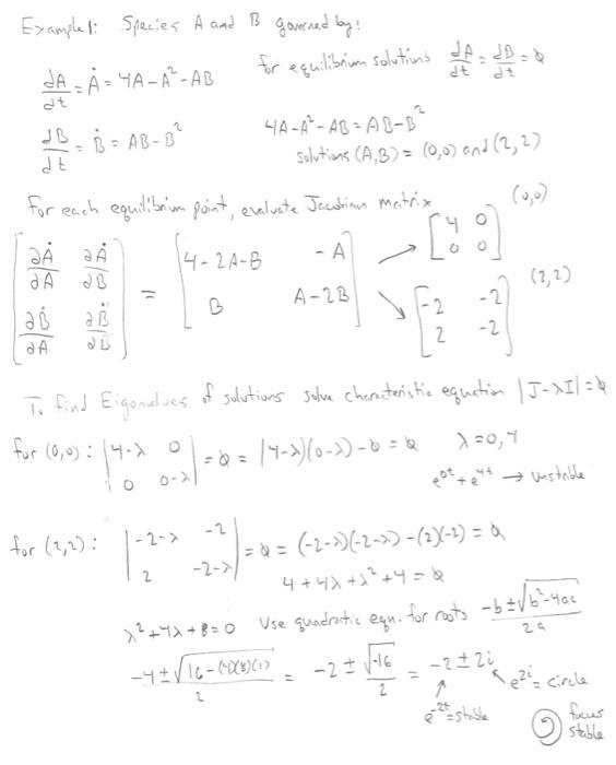
Differentiation Stability Determine the relation ship of A and B dtdA=kA2BdtdB=3BA2+1 a. one value of B that acheives a steady state differentiation is 1.0. Determine the value of k that would a cheive this, \& find any other values of A and B that could satisfy these relationships with that value of k. b. For any positive steady state concentrations of A&B determine the stability of those states. dtdA=A=4AA2ABforequilibriumsolutionsdtdA=dtdB=QdtdB=B=ABB24AA2AB=ABB2solvtion(A,B)=(0,0)and(2,2) To find Eigondelues of solutions solve chencteristic equation JI=$ for (0,0):4000=0=y)(0)0=Q=0,7e0t+e4tunstaible for (2,2):2222=Q=(2)(2)(2)(2)=a4+4+2+4=Q 2+4+B=0 Use quadritic equ. for rots 2abb24ac 4216(0)(8)(1)=2216=e2t=stuble22i
Step by Step Solution
There are 3 Steps involved in it
Get step-by-step solutions from verified subject matter experts
