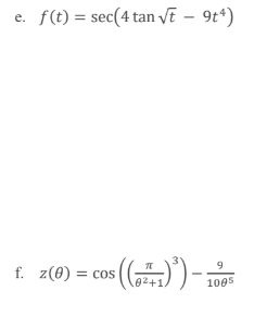
Question: Differentiate each function. Show all your work t o communicate clearly and properly the process. ( A f t e r differentiation, you d o
Differentiate each function. Show all your work communicate clearly and properly the process. differentiation, you
not need simplify your final answer; however, you must simplify the coefficients and powers.
Step by Step Solution
There are 3 Steps involved in it
1 Expert Approved Answer
Step: 1 Unlock
Question Has Been Solved by an Expert!
Get step-by-step solutions from verified subject matter experts
Step: 2 Unlock
Step: 3 Unlock
