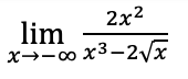
Question: Differentiate, keep getting the wrong answer, will give a super good rating if done correctly! 2x2 lim x32v'7



Differentiate, keep getting the wrong answer, will give a super good rating if done correctly!



2x2 lim x32v'7
Step by Step Solution
There are 3 Steps involved in it
Get step-by-step solutions from verified subject matter experts
