Question: Differentiate the following functio y = 4 x 2 ( 5 - 2 x ) 3 d y d x = Differentiate the following functio
Differentiate the following functio
Differentiate the following functio
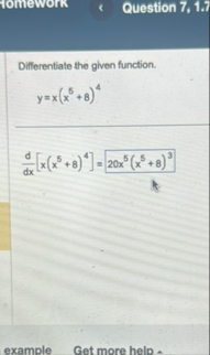
Differentiate the given function.
Step by Step Solution
There are 3 Steps involved in it
1 Expert Approved Answer
Step: 1 Unlock
Question Has Been Solved by an Expert!
Get step-by-step solutions from verified subject matter experts
Step: 2 Unlock
Step: 3 Unlock
